СОЛІКВА®

Insulin glargine and lixisenatide
Pharmacological group: Лікарські засоби, що застосовуються при цукровому діабеті. Інсуліни та їхні аналоги тривалої дії для ін’єкційного введення.
  • Україна ТОВ "Санофі-Авентіс Україна"
    Dosage form: розчин для ін’єкцій, 100 од/мл+33 мкг/мл, № 3 або № 5: по 3 мл у картриджі, вмонтованому в одноразову шприц-ручку; по 3 або по 5 шприц-ручок в картонній коробці. Голки в упаковку не включені
    Composition: 1 мл розчину для ін’єкцій містить 100 одиниць інсуліну гларгіну та 33 мкг ліксисенатиду;/1 шприц-ручка містить 3 мл розчину для ін’єкцій, що еквівалентно 300 одиницям інсуліну гларгіну та 100 мкг ліксисенатиду;/1 поділка дозування відповідає 1 одиниці інсуліну гларгіну та 0,33 мкг ліксисенатиду
    Medicinal dispensing terms: за рецептом
    Сertificate number: UA/20960/01/01
    ATS code: A10AE54
    Expiry: 36 місяців.
  • Україна ТОВ "Санофі-Авентіс Україна"
    Dosage form: розчин для ін’єкцій, 100 од/мл+50 мкг/мл, № 3 або № 5: по 3 мл у картриджі, вмонтованому в одноразову шприц-ручку; по 3 або по 5 шприц-ручок в картонній коробці. Голки в упаковку не включені
    Composition: 1 мл розчину для ін’єкцій містить 100 одиниць інсуліну гларгіну та 50 мкг ліксисенатиду;/1 шприц-ручка містить 3 мл розчину для ін’єкцій, що еквівалентно 300 одиницям інсуліну гларгіну та 150 мкг ліксисенатиду;/1 поділка дозування відповідає 1 одиниці інсуліну гларгіну та 0,5 мкг ліксисенатиду
    Medicinal dispensing terms: за рецептом
    Сertificate number: UA/20960/01/02
    ATS code: A10AE54
    Expiry: 36 місяців

ІНСТРУКЦІЯ

для медичного застосування лікарського засобу

СОЛІКВА®

(SOLIQUA®)

Склад:

діючі речовини: інсулін гларгін, ліксисенатид;

1 мл розчину для ін’єкцій містить 100 одиниць інсуліну гларгіну та 33 мкг ліксисенатиду;

1 шприц-ручка містить 3 мл розчину для ін’єкцій, що еквівалентно 300 одиницям інсуліну гларгіну та 100 мкг ліксисенатиду;

1 поділка дозування відповідає 1 одиниці інсуліну гларгіну та 0,33 мкг ліксисенатиду;

допоміжні речовини: гліцерин (85 %); метіонін; метакрезол; цинку хлорид; кислота хлористоводнева концентрована; натрію гідроксид; вода для ін’єкцій.

Лікарська форма. Розчин для ін’єкцій.

Основні фізико-хімічні властивості: безбарвний або майже безбарвний розчин.

Фармакотерапевтична група. Лікарські засоби, що застосовуються при цукровому діабеті. Інсуліни та їхні аналоги тривалої дії для ін’єкційного введення.

Код ATХ A10A E54.

Фармакологічні властивості

Фармакодинаміка

Механізм дії. Лікарський засіб Соліква® – це комбінація двох діючих речовин із взаємодоповнюючими механізмами дії для покращення контролю глікемії, а саме інсуліну гларгіну (аналог базального інсуліну, головною функцією якого є контроль рівнів глюкози в плазмі крові натще) та ліксисенатиду (агоніст рецепторів ГПП-1, головною функцією якого є контроль постпрандіальних рівнів глюкози).

Інсулін гларгін. Найважливішою дією інсуліну, в тому числі інсуліну гларгіну, є регуляція метаболізму глюкози. Інсулін та його аналоги знижують рівень глюкози в крові за рахунок стимуляції її захоплення периферичними тканинами, зокрема скелетними м’язами та жировою тканиною, а також пригнічення утворення глюкози у печінці. Інсулін пригнічує ліполіз та протеоліз, а також стимулює синтез білків.

Ліксисенатид. Ліксисенатид є агоністом рецепторів глюкагоноподібного пептиду-1 (ГПП-1). Рецептори ГПП-1 є мішенню природного ГПП-1 – ендогенного гормону-інкретину, який потенціює глюкозозалежну секрецію інсуліну β-клітинами та пригнічує секрецію глюкагону α-клітинами підшлункової залози.

Ліксисенатид стимулює секрецію інсуліну при підвищенні рівнів глюкози в крові, не впливаючи при цьому на секрецію інсуліну при нормоглікемії, що обмежує ризик виникнення гіпоглікемії. Паралельно пригнічується секреція глюкагону. У разі виникнення гіпоглікемії рятувальний механізм у вигляді секреції глюкагону зберігається. Препрандіальне введення ліксисенатиду також сповільнює спорожнення шлунка, знижуючи таким чином швидкість абсорбції та надходження в систему кровообігу глюкози, що міститься в їжі.

Фармакодинамічні ефекти

Комбінація інсуліну гларгіну та ліксисенатиду не впливає на фармакодинаміку інсуліну гларгіну. Вплив комбінації інсуліну гларгіну та ліксисенатиду на фармакодинаміку ліксисенатиду не вивчався в рамках досліджень 1 фази.

Враховуючи відносно постійний профіль «концентрація / час» інсуліну гларгіну впродовж 24 годин без виражених піків при застосуванні його окремо, профіль «швидкість утилізації глюкози / час» був подібним при застосуванні комбінації інсуліну гларгіну та ліксисенатиду.

Період дії інсулінів, в тому числі лікарського засобу Соліква®, може відрізнятись у різних осіб і навіть бути різним в однієї і тієї ж особи.

Інсулін гларгін. За результатами клінічних досліджень із застосуванням інсуліну гларгіну (100 од/мл) цукрознижувальний ефект на молярній основі (тобто при застосуванні однакових доз) інсуліну гларгіну при його внутрішньовенному введенні є приблизно таким самим, як людського інсуліну.

Ліксисенатид. За результатами 28-денного плацебо-контрольованого дослідження у пацієнтів із цукровим діабетом 2 типу застосування ліксисенатиду в дозі 5–20 мкг призводило до статистично значущого зниження постпрандіальних рівнів глюкози після сніданку, обіду та вечері.

Спорожнення шлунка. Після вживання стандартної міченої досліджуваної їжі в рамках зазначеного вище дослідження було підтверджено, що ліксисенатид сповільнює спорожнення шлунка, знижуючи таким чином швидкість постпрандіальної абсорбції глюкози. Ефект сповільнення спорожнення шлунка підтримувався до завершення дослідження.

Клінічна ефективність та безпека. Безпека та ефективність застосування лікарського засобу Соліква® стосовно контролю глікемії оцінювались у трьох рандомізованих клінічних дослідженнях за участю пацієнтів із цукровим діабетом 2 типу:

•       Додавання до метформіну (пацієнтам, що не отримували інсулін).

•       Перехід від базального інсуліну.

•       Перехід від агоніста рецепторів ГПП-1.

У кожному з досліджень з активним контролем лікування лікарським засобом Соліква® призводило до клінічно та статистично значущого покращення рівнів глікованого гемоглобіну (HbA1c).

Досягнення нижчих рівнів HbA1c та досягнення більш значного зниження рівнів HbA1c не призводило до збільшення частоти виникнення гіпоглікемії при комбінованому лікуванні порівняно з монотерапією інсуліном гларгіном (див. розділ «Побічні реакції»).

В рамках клінічного дослідження з додаванням препарату до метформіну лікування розпочиналось з дози, що дорівнювала 10 поділкам дозування (10 одиниць інсуліну гларгіну та 5 мкг ліксисенатиду). В рамках клінічного дослідження з переходом від базального інсуліну початкова доза відповідала 20 поділкам дозування (20 одиниць інсуліну гларгіну та 10 мкг ліксисенатиду) або 30 поділкам дозування (30 одиниць інсуліну гларгіну та 10 мкг ліксисенатиду) (див. розділ «Спосіб застосування та дози») залежно від попереднього дозування інсуліну. В обох дослідженнях титрування дозування здійснювалось один раз на тиждень з урахуванням рівнів глюкози в плазмі крові натще, що визначались самостійно.

Додавання до метформіну (пацієнтам, що не отримували інсулін)

Клінічне дослідження за участю пацієнтів із цукровим діабетом 2 типу, в яких на фоні лікування пероральним протидіабетичним препаратом не відзначалось належного контролю захворювання. Всього в рамках відкритого 30-тижневого дослідження з активним контролем було рандомізовано 1170 пацієнтів із цукровим діабетом 2 типу для оцінки ефективності та безпеки застосування лікарського засобу Соліква® порівняно з окремими компонентами – інсуліном гларгіном (100 од/мл) та ліксисенатидом (20 мкг).

Пацієнти з цукровим діабетом 2 типу, які отримували метформін як монотерапію або в комбінації з іншим пероральним протидіабетичним препаратом, яким міг бути препарат сульфонілсечовини, глінід, інгібітор натрійзалежного котранспортера глюкози-2 (НЗКТГ-2) або інгібітор дипептидилпептидази-4 (ДПП-4), та у яких не відзначалось належного контролю захворювання на фоні такого лікування (рівні HbA1c коливались в межах від 7,5 % до 10,0 % у пацієнтів, які раніше отримували метформін як монотерапію, та в межах від 7,0 % до 9,0 % у пацієнтів, які раніше отримували лікування метформіном в комбінації з іншим пероральним протидіабетичним препаратом), були включені у вступний період тривалістю 4 тижні. Впродовж цієї вступної фази здійснювалась оптимізація лікування метформіном, а прийом інших пероральних протидіабетичних препаратів припинявся. В кінці вступного періоду пацієнти, в яких продовжувався відзначатись неналежний контроль захворювання (рівні HbAlc коливались в межах від 7 % до 10 %), були рандомізовані в групи, які отримували досліджуваний лікарський засіб, інсулін гларгін або ліксисенатид. З 1479 пацієнтів, які були включені у вступну фазу дослідження, 1170 були рандомізовані. Головними причинами, які не дозволяли включити пацієнтів у рандомізаційну фазу дослідження, були рівні глюкози в плазмі крові натще > 13,9 ммоль/л та рівні HbA1c < 7 % або > 10 % в кінці вступної фази дослідження.

Характеристики популяції рандомізованих пацієнтів із цукровим діабетом 2 типу були такими: середній вік становив 58,4 року, при цьому вік більшості пацієнтів (57,1 %) становив від 50 до 64 років; 50,6 % пацієнтів були чоловіками; середній індекс маси тіла (ІМТ) на вихідному рівні становив 31,7 кг/м2, при цьому у 63,4 % пацієнтів ІМТ становив > 30 кг/м2; середня тривалість цукрового діабету становила приблизно 9 років. Метформін був обов’язковою фоновою терапією, а 58 % пацієнтів отримували на скринінгу також інший пероральний протидіабетичний препарат, яким у 54 % пацієнтів був препарат сульфонілсечовини.

На тижні 30 лікування досліджуваним препаратом спостерігалося статистично значуще покращення рівнів HbA1c (p-значення < 0,0001) порівняно з таким у разі застосування окремих компонентів. За результатами попередньо визначеного аналізу цієї первинної кінцевої точки відзначені відмінності узгоджувались стосовно вихідних рівнів HbA1c (< 8 % або ≥ 8 %) або перорального протидіабетичного лікування на вихідному рівні (метформін як монотерапія або у комбінації з іншим пероральним протидіабетичним препаратом). Інформація щодо інших кінцевих точок дослідження наведена в таблиці 1 та на рисунку 1.

Таблиця 1

Результати клінічного дослідження з додаванням препарату до метформіну на тижні 30 (популяція пацієнтів, які отримали лікування)

Показник

Препарат Соліква®

Інсулін гларгін

Ліксисенатид

Кількість пацієнтів, які отримали лікування

468

466

233

Рівень HbA1c (%)

Вихідний рівень (середнє значення, після вступної фази)

8,1

8,1

8,1

Завершення дослідження (середнє значення)

6,5

6,8

7,3

Зміна порівняно з вихідним рівнем, визначена методом найменших квадратів (середнє значення)

-1,6

-1,3

-0,9

Відмінність порівняно з інсуліном гларгіном

[95 % довірчий інтервал]

(p-значення)

-0,3

[-0,4; -0,2]

(< 0,0001)

Відмінність порівняно з ліксисенатидом

[95 % довірчий інтервал]

(p-значення)

-0,8

[-0,9; -0,7]

(< 0,0001)

Кількість пацієнтів (%), у яких були досягнуті рівні HbA1c < 7 % на тижні 30*

345 (74 %)

277 (59 %)

77 (33 %)

Рівень глюкози в плазмі крові натще (ммоль/л)

Вихідний рівень (середнє значення)

9,88

9,75

9,79

Завершення дослідження (середнє значення)

6,32

6,53

8,27

Зміна порівняно з вихідним рівнем, визначена методом найменших квадратів (середнє значення)

-3,46

-3,27

-1,50

Зміна порівняно з інсуліном гларгіном, визначена методом найменших квадратів (середнє значення)

[95 % довірчий інтервал]

(p-значення)

-0,19

[-0,420 до 0,038]

(0,1017)

Зміна порівняно з ліксисенатидом, визначена методом найменших квадратів (середнє значення)

[95 % довірчий інтервал]

(p-значення)

-1,96

[-2,246 до -1,682]

(< 0,0001)

Постпрандіальний рівень глюкози через 2 години після прийому їжі (ммоль/л)**

Вихідний рівень (середнє значення)

15,19

14,61

14,72

Завершення дослідження (середнє значення)

9,15

11,35

9,99

Зміна порівняно з вихідним рівнем, визначена методом найменших квадратів

-5,68

-3,31

-4,58

Зміна порівняно з інсуліном гларгіном, визначена методом найменших квадратів (середнє значення)

[95 % довірчий інтервал]

-2,38

[-2,79 до -1,96]

Зміна порівняно з ліксисенатидом, визначена методом найменших квадратів (середнє значення)

[95 % довірчий інтервал]

-1,10

[-1,63 до -0,57]

Середня маса тіла (кг)

Вихідний рівень (середнє значення)

89,4

89,8

90,8

Зміна порівняно з вихідним рівнем, визначена методом найменших квадратів (середнє значення)

-0,3

1,1

-2,3

Порівняння з інсуліном гларгіном

[95 % довірчий інтервал]

(p-значення)

-1,4

[-1,9 до -0,9]

(< 0,0001)

Порівняння з ліксисенатидом

[95 % довірчий інтервал]*

2,01

[1,4 до 2,6]

Кількість пацієнтів (%), у яких були досягнуті рівні HbA1c < 7,0 % без приросту маси тіла на тижні 30

202

(43,2 %)

117

(25,1 %)

65

(27,9%)

Пропорційна відмінність порівняно з інсуліном гларгіном

[95 % довірчий інтервал]

(p-значення)

18,1

[12,2 до 24,0]

(< 0,0001)

Пропорційна відмінність порівняно з ліксисенатидом

[95 % довірчий інтервал]*

15,2

[8,1 до 22,4]

Добова доза інсуліну гларгіну

Доза інсуліну на тижні 30, визначена методом найменших квадратів (середнє значення)

39,8

40,5

Не застосовано

* Не включено в попередньо визначеній процедурі дослідження поступового зниження рівнів.

** Постпрандіальний рівень глюкози через 2 години після прийому їжі мінус рівень глюкози перед прийомом їжі.

Інструкція соліква®

Рис. 1. Середні рівні HbA1c (%) на візитах протягом 30 тижнів лікування – популяція пацієнтів, які отримували лікування

У пацієнтів групи досліджуваного препарату відзначено статистично значуще більше зниження середнього профілю рівнів глюкози в плазмі крові, що визначались самостійно на 7 часових точках, від вихідного рівня до тижня 30 (-3,35 ммоль/л) порівняно з пацієнтами групи інсуліну гларгіну (-2,66 ммоль/л; відмінність 0,69 ммоль/л) та з пацієнтами групи ліксисенатиду (-1,95 ммоль/л; відмінність 1,40 ммоль/л) (p < 0,0001 для обох порівнянь). На всіх часових точках на тижні 30 середні рівні глюкози в плазмі крові були нижчими в групі досліджуваного препарату порівняно як з групою інсуліну гларгіну, так і з групою ліксисенатиду, за винятком тільки рівнів глюкози перед сніданком, які були подібними в групі досліджуваного лікарського засобу та в групі інсуліну гларгіну.

Перехід від базального інсуліну

Клінічне дослідження за участю пацієнтів з цукровим діабетом 2 типу, в яких на фоні лікування базальним інсуліном не відзначалось належного контролю захворювання

Загалом 736 пацієнтів із цукровим діабетом 2 типу взяли участь в рандомізованому, 30-тижневому, з активним контролем, відкритому, з 2 групами лікування, в паралельних групах, багатоцентровому дослідженні ефективності та безпеки застосування лікарського засобу Соліква® порівняно з інсуліном гларгіном (100 од/мл).

Скриновані пацієнти з цукровим діабетом 2 типу отримували базальний інсулін впродовж щонайменше 6 місяців в стабільній добовій дозі від 15 до 40 МО як монотерапію або в комбінації з одним або двома пероральними протидіабетичними препаратами (метформін, препарат сульфонілсечовини, глінід, інгібітор НЗКТГ-2 або інгібітор ДПП-4), при цьому рівні HbA1c у них становили від 7,5 % до 10 % (середній рівень HbA1c на скринінгу становив 8,5 %), а рівні глюкози в плазмі крові натще становили ≤ 10,0 ммоль/л або ≤ 11,1 ммоль/л залежно від попереднього протидіабетичного лікування.

Після скринінгу пацієнти, які були визначені придатними для участі в дослідженні (n = 1018), включались в 6-тижневу вступну фазу, впродовж якої вони продовжували отримувати інсулін гларгін або були переведені на лікування інсуліном гларгіном у разі, якщо вони отримували інший базальний інсулін; при цьому здійснювалось титрування/стабілізація дози інсуліну на фоні продовження терапії метформіном (якщо він приймався до цього). Лікування будь-якими іншими пероральними протидіабетичними препаратами було припинене.

Після завершення вступного періоду пацієнти, у яких рівні HbA1c становили від 7 до 10 %, рівні глюкози в плазмі крові натще становили ≤ 7,77 ммоль/л, а добова доза інсуліну гларгіну становила від 20 до 50 одиниць, були рандомізовані в групу лікарського засобу Соліква® (n = 367) або в групу інсуліну гларгіну (n = 369).

Характеристики популяції рандомізованих пацієнтів із цукровим діабетом 2 типу були такими: середній вік становив 60,0 року, при цьому вік більшості пацієнтів (56,3 %) становив від 50 до 64 років; 53,3 % пацієнтів були жіночої статі; середній індекс маси тіла (ІМТ) на вихідному рівні становив 31,1 кг/м2, при цьому у 57,3 % пацієнтів ІМТ становив ≥ 30 кг/м2; середня тривалість цукрового діабету становила приблизно 12 років, а середня тривалість попереднього лікування базальним інсуліном – приблизно 3 роки. На скринінгу 64,4 % пацієнтів як базальний інсулін отримували інсулін гларгін, а 95,0 % отримували принаймні один пероральний протидіабетичний препарат.

На тижні 30 лікування досліджуваним препаратом спостерігалося статистично значуще покращення рівнів HbA1c (p-значення < 0,0001) порівняно з таким у разі застосування інсуліну гларгіну. Інформація щодо інших кінцевих точок дослідження наведена в таблиці 2 та на рисунку 2.

Таблиця 2

Результати клінічного дослідження, отримані у пацієнтів із цукровим діабетом 2 типу, в яких не відзначався належний контроль захворювання на фоні лікування базальним інсуліном, на тижні 30 (популяція пацієнтів, які отримали лікування)

Показник

Препарат Соліква®

Інсулін гларгін

Кількість пацієнтів, які отримали лікування

366

365

Рівень HbA1c (%)

Вихідний рівень (середнє значення після вступної фази)

8,1

8,1

Завершення лікування (середнє значення)

6,9

7,5

Зміна порівняно з вихідним рівнем, визначена методом найменших квадратів (середнє значення)

-1,1

-0,6

Відмінність порівняно з інсуліном гларгіном

[95 % довірчий інтервал]

(p-значення)

-0,5

[-0,6; -0,4]

(< 0,0001)

Кількість пацієнтів [n (%)], у яких були досягнуті рівні HbA1c < 7 % на тижні 30*

201 (54,9 %)

108 (29,6 %)

Рівень глюкози в плазмі крові натще (ммоль/л)

Вихідний рівень (середнє значення)

7,33

7,32

Завершення дослідження (середнє значення)

6,78

6,69

Зміна порівняно з вихідним рівнем, визначена методом найменших квадратів (середнє значення)

-0,35

-0,46

Відмінність порівняно з інсуліном гларгіном

[95 % довірчий інтервал]

0,11

(-0,21 до 0,43)

Постпрандіальний рівень глюкози через 2 години після прийому їжі (ммоль/л)**

Вихідний рівень (середнє значення)

14,85

14,97

Завершення дослідження (середнє значення)

9,91

13,41

Зміна порівняно з вихідним рівнем, визначена методом найменших квадратів (середнє значення)

-4,72

-1,39

Зміна порівняно з інсуліном гларгіном, визначена методом найменших квадратів (середнє значення)

[95 % довірчий інтервал]

-3,33

[-3,89 до -2,77]

Середня маса тіла (кг)

Вихідний рівень (середнє значення)

87,8

87,1

Зміна порівняно з вихідним рівнем, визначена методом найменших квадратів (середнє значення)

-0,7

0,7

Порівняння з інсуліном гларгіном

[95 % довірчий інтервал]

(p-значення)

-1,4

[-1,8 до -0,9]

(< 0,0001)

Кількість пацієнтів (%), у яких були досягнуті рівні HbA1c < 7,0 % без приросту маси тіла на тижні 30

125

(34,2 %)

49

(13,4 %)

Пропорційна відмінність порівняно з інсуліном гларгіном

[95 % довірчий інтервал]

(p-значення)

20,8

[15,0 до 26,7]

(< 0,0001)

Добова доза інсуліну гларгіну

Вихідний рівень (середнє значення)

35,0

35,2

Кінцева точка (середнє значення)

46,7

46,7

Зміна дози інсуліну на тижні 30, визначена методом найменших квадратів (середнє значення)

10,6

10,9

* Не включено в попередньо визначеній процедурі дослідження поступового зниження рівнів.

** Постпрандіальний рівень глюкози через 2 години після прийому їжі мінус рівень глюкози перед прийомом їжі.

Склад соліква®

Рис. 2. Середні рівні HbA1c (%) на візитах протягом 30 тижнів лікування – популяція пацієнтів, які отримали лікування

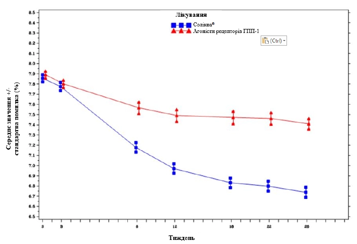
Перехід від агоніста рецепторів ГПП-1

Клінічне дослідження за участю пацієнтів із цукровим діабетом 2 типу, в яких на фоні лікування агоністом рецепторів ГПП-1 не відзначалось належного контролю захворювання

Ефективність та безпека застосування лікарського засобу Соліква® в порівнянні з незміненим попереднім лікуванням агоністом рецепторів ГПП-1 були вивчені в 26-тижневому рандомізованому відкритому дослідженні. У дослідженні брали участь 514 пацієнтів із цукровим діабетом 2 типу, в яких не відзначалося належного контролю (рівень HbA1c від 7 % до 9 % включно) захворювання та які отримували лікування ліраглутидом або ексенатидом протягом не менше 4 місяців або дулаглутидом, албіглутидом або ексенатидом з пролонгованим вивільненням протягом не менше 6 місяців (усі препарати вводилися в максимальній переносимій дозі) і метформіном у вигляді монотерапії або в поєднанні з піоглітазоном, інгібітором натрійзалежного котранспортера глюкози-2 або з обома. Відібрані пацієнти були рандомізовані або для прийому досліджуваного лікарського засобу, або для продовження прийому попереднього агоніста рецепторів ГПП-1 на додаток до попереднього перорального протидіабетичного лікування.

На скринінгу 59,7 % суб’єктів отримували агоніст рецепторів  ГПП-1 один раз або двічі на день, а 40,3 % отримували агоніст рецепторів ГПП-1 один раз на тиждень. Під час скринінгу 6,6 % суб’єктів отримували піоглітазон, а 10,1 % — інгібітор натрійзалежного котранспортера глюкози-2 в комбінації з метформіном. Характеристики популяції дослідження були такими: середній вік становив 59,6 року, 52,5 % суб’єктів становили чоловіки, середня тривалість цукрового діабету становила 11 років, середня тривалість попереднього лікування агоністами рецепторів ГПП-1 становила 1,9 року, середній ІМТ становив приблизно 32,9 кг/м2, середня рШКФ становила 87,3 мл/хв/1,73 м2 і 90,7 % пацієнтів мали рШКФ ≥ 60 мл/хв.

На тижні 26 лікування досліджуваним лікарським засобом спостерігалося статистично значуще покращення рівнів HbA1c (p < 0,0001). Попередньо визначений аналіз підтипу агоніста рецепторів ГПП-1 (один/два рази на день або щотижня), використаного під час скринінгу, показав, що зміна HbA1c на тижні 26 було аналогічною для кожної підгрупи і узгоджується з первинним аналізом для всієї популяції. Середня добова доза досліджуваного препарату на тижні 26 становила 43,5 поділки дозування. Інформація щодо інших кінцевих точок дослідження наведена в таблиці 3 та на рисунку 3.

Таблиця 3

Результати клінічного дослідження за участю пацієнтів із цукровим діабетом 2 типу, в яких не відзначався належний контроль захворювання на фоні лікування агоністами рецепторів ГПП-1 на тижні 26 (популяція пацієнтів, які отримали лікування)

Показник

Соліква®

Агоніст рецепторів ГПП-1*

Кількість пацієнтів, які отримали лікування 

252

253

Рівень HbA1c (%)

Вихідний рівень (середнє значення після вступної фази)  

7,8

7,8

Завершення лікування (середнє значення)                  

6,7

7,4

Зміна порівняно з вихідним рівнем, визначена методом найменших квадратів (середнє значення)

-1,0

-0,4

Відмінність порівняно з агоністом рецепторів ГПП-1

[95 % ДІ]

(p-значення)

-0,6 [-0,8; -0,5]

(< 0,0001)

Кількість пацієнтів [n (%)], у яких були досягнуті рівні HbA1c < 7 % на тижні 26

156 (61,9 %)

65 (25,7 %)

Пропорційна відмінність порівняно з агоністом рецепторів  ГПП-1(95 % ДІ)

36,1 % (28,1 % до 44,0 %)

p-значення

< 0,0001

Рівень глюкози в плазмі крові натще (ммоль/л)

Вихідний рівень (середнє значення)    

9,06

9,45

Завершення дослідження (середнє значення)   

6,86

8,66

Зміна порівняно з вихідним рівнем, визначена методом найменших квадратів (середнє значення)

-2,28

-0,60

Відмінність порівняно з агоністом рецепторів до ГПП-1

[95 % ДІ]

(p-значення)

-1,67

[-2,00 до -1,34]

(< 0,0001)

Постпрандіальний рівень глюкози через 2 години після прийому їжі (ммоль/л)**

Вихідний рівень (середнє значення)

13,60

13,78

Завершення дослідження (середнє значення)

9,68

12,59

Зміна порівняно з вихідним рівнем, визначена методом найменших квадратів (середнє значення)

-4,0

-1,11

Зміна порівняно з агоністом рецепторів ГПП-1, визначена методом найменших квадратів (середнє значення) [95 % ДІ]

(p-значення)

-2,9

[-3,42 до -2,28]

(< 0,0001)

Середня маса тіла (кг)

Вихідний рівень (середнє значення)

93,01

95,49

Зміна порівняно з вихідним рівнем, визначена методом найменших квадратів (середнє значення)

1,89

-1,14

Порівняння з агоністом рецепторів  ГПП-1 [95 % ДІ]

(p-значення)

-3,03

[2,417 до 3,643]

(< 0,0001)

* Ліраглутид, ексенатид двічі на добу або з пролонгованим вивільненням, дулаглутид або албіглутид.

** Постпрандіальний рівень глюкози через 2 години після прийому їжі мінус рівень глюкози перед прийомом їжі.

Застосування соліква® Рис. 3. Середні рівні HbA1c (%) на візитах протягом 26 тижнів лікування – популяція пацієнтів, які отримали лікування

Одночасне застосування лікарського засобу Соліква® з інгібіторами натрійзалежного котранспортера глюкози-2 (НЗКТГ-2)

Одночасне застосування лікарського засобу Соліква® з інгібіторами НЗКТГ-2 підтверджується аналізом підгруп із трьох рандомізованих клінічних досліджень фази 3 (119 пацієнтів, які отримували комбінацію інсуліну гларгіну / ліксисенатиду з фіксованим співвідношенням, які також отримували інгібітори НЗКТГ-2).

Одне дослідження, проведене в Європі й Північній Америці, включало дані 26 пацієнтів (10,1 %), які одночасно отримували комбінацію інсуліну гларгіну та ліксисенатиду з фіксованим співвідношенням, метформін та інгібітори НЗКТГ-2. Ще два дослідження фази 3 зі спеціалізованої японської програми клінічного розвитку, виконані за участю пацієнтів, які не досягли достатнього контролю глікемії застосуванням пероральних протидіабетичних препаратів, надали дані щодо 59 пацієнтів (22,7 %) і 34 пацієнтів (21,1 %) відповідно, які одночасно отримували інгібітори НЗКТГ-2 й комбінацію інсуліну гларгіну та ліксисенатиду з фіксованим співвідношенням.

Дані цих 3 досліджень показують, що початок застосування лікарського засобу Соліква® у пацієнтів із недостатнім контролем лікуванням інгібіторами НЗКТГ-2 демонструє більш значне покращення рівнів HbA1c порівняно з препаратами порівняння (інсулін гларгін, ліксисенатид, ліраглутид, ексенатид двічі на добу або з пролонгованим вивільненням, дулаглутид або албіглутид). У пацієнтів, які отримували інгібітори НЗКТГ-2, не було підвищеного ризику гіпоглікемії і значущих відмінностей в загальному профілі безпеки в порівнянні з тими, хто не отримував інгібітори НЗКТГ-2.

Дослідження впливу на серцево-судинні події

Безпека застосування інсуліну гларгіну та ліксисенатиду стосовно серцево-судинних подій вивчалась в рамках клінічних досліджень ORIGIN та ELIXA відповідно. Окремого дослідження впливу лікарського засобу Соліква® на серцево-судинні події не проводилось.

Інсулін гларгін. Дослідження зниження частоти серцево-судинних ускладнень при ініціальному застосуванні інсуліну гларгіну (дослідження ORIGIN) було відкритим рандомізованим дослідженням, в яке було включено 12 537 пацієнтів та в рамках якого порівнювалось лікування інсуліном гларгіном, 100 од/мл, зі стандартним лікуванням на момент першого виникнення серйозного небажаного явища з боку серцево-судинної системи. Серйозне небажане явище з боку серцево-судинної системи включало смерть внаслідок серцево-судинної події, нелетальний інфаркт міокарда та нелетальний інсульт. Медіана тривалості контрольного спостереження в рамках дослідження становила 6,2 року. Частота серйозних небажаних явищ з боку серцево-судинної системи в рамках дослідження ORIGIN була подібною у групі, що отримувала інсулін гларгін у дозі 100 од/мл, та групі, що отримувала стандартне лікування (відношення ризиків [95 % ДІ] щодо серйозних небажаних явищ з боку серцево-судинної системи: 1,02 [0,94; 1,11]).

Ліксисенатид. Дослідження ELIXA було рандомізованим, подвійно сліпим, плацебо-контрольованим, багатонаціональним дослідженням, в рамках якого здійснювалась оцінка серцево-судинних ускладнень під час лікування ліксисенатидом у пацієнтів із цукровим діабетом 2 типу (n = 6068) після нещодавно перенесеного гострого коронарного синдрому. Первинною комбінованою кінцевою точкою щодо ефективності був час до першого виникнення будь-якого з таких небажаних явищ: смерть внаслідок серцево-судинної події, нелетальний інфаркт міокарда, нелетальний інсульт або госпіталізація з приводу нестабільної стенокардії. Медіана тривалості контрольного спостереження в рамках дослідження становила 25,8 та 25,7 місяця в групі ліксисенатиду та в групі плацебо відповідно.

Частота первинної кінцевої точки була подібною у групі ліксисенатиду (13,4 %) та групі плацебо (13,2 %): відношення ризиків для ліксисенатиду порівняно з плацебо становило 1,017 з асоційованим 2-бічним 95 % довірчим інтервалом (ДІ) від 0,886 до 1,168.

Фармакокінетика

Абсорбція. Співвідношення інсулін гларгін / ліксисенатид суттєво не впливає на фармакокінетику інсуліну гларгіну та ліксисенатиду в лікарському засобі Соліква®.

Після підшкірного введення комбінації інсулін гларгін / ліксисенатид у пацієнтів із цукровим діабетом 1 типу інсулін гларгін не демонстрував вираженого піка. Експозиція інсуліну гларгіну після введення комбінації інсулін гларгін / ліксисенатид становила 86−88 % від експозиції, яка відзначалась при окремих одночасних ін’єкціях інсуліну гларгіну та ліксисенатиду. Така відмінність не вважається клінічно значущою.   

Після підшкірного введення комбінації інсулін гларгін / ліксисенатид у пацієнтів із цукровим діабетом 1 типу медіана tmax ліксисенатиду знаходилась в діапазоні від 2,5 до 3,0 години. AUC була порівнянною, тоді як спостерігалось незначне зниження Cmax ліксисенатиду на 22−34 % порівняно з Cmax, яка відзначалась при окремих одночасних ін’єкціях інсуліну гларгіну та ліксисенатиду; проте малоймовірно, що таке зниження може бути клінічно значущим.

Клінічно значущі відмінності в швидкості абсорбції ліксисенатиду при його застосуванні як монотерапії шляхом підшкірного введення в ділянку живота, дельтоподібного м’яза або стегна відсутні.

Розподіл. Ліксисенатид характеризується низьким (55 %) рівнем зв’язування з білками плазми людини. Передбачуваний об’єм розподілу ліксисенатиду після підшкірного введення комбінації інсулін гларгін / ліксисенатид (незв’язаний об’єм розподілу, Vz/F) становить приблизно 100 л. Передбачуваний об’єм розподілу інсуліну гларгіну після підшкірного введення комбінації інсулін гларгін / ліксисенатид (об’єм розподілу в рівноважному стані, Vss/F) становить приблизно 1700 л.

Біотрансформація та елімінація. Результати дослідження метаболізму в пацієнтів із цукровим діабетом, які отримували інсулін гларгін як монотерапію, свідчать про те, що інсулін гларгін швидко метаболізується на рівні карбоксильного кінця В-ланцюга з утворенням двох активних метаболітів – M1 (21A-гліцин-інсулін) та M2 (21A-гліцин-дез-30B-треонін-інсулін). У плазмі крові головною циркулюючою сполукою є метаболіт М1. Фармакокінетичні та фармакодинамічні дані свідчать про те, що ефект підшкірної ін’єкції інсуліну гларгіну головним чином залежить від експозиції метаболіту М1.

Як і всі пептиди, ліксисенатид виводиться шляхом клубочкової фільтрації з подальшою канальцевою реабсорбцією та подальшим метаболічним розщепленням до менших пептидів та амінокислот, які знову включаються в білковий метаболізм.

Після одноразового підшкірного введення комбінації інсулін гларгін / ліксисенатид середній уявний кліренс (CL/F) інсуліну гларгіну становив 120 л/год. Після багатократного підшкірного введення ліксисенатиду у пацієнтів із цукровим діабетом 2 типу середній термінальний час напіввиведення становив приблизно 3 години, а середній уявний кліренс (CL/F) становив приблизно 35 л/год.

Особливі популяції пацієнтів

Пацієнти з порушенням функції нирок. У пацієнтів з легким (кліренс креатиніну, розрахований за формулою Кокрофта − Голта, 60−90 мл/хв), помірним (кліренс креатиніну 30−60 мл/хв) та тяжким (кліренс креатиніну 15−30 мл/хв) порушенням функції нирок AUC ліксисенатиду зростала на 46 %, 51 % та 87 % відповідно.

Застосування інсуліну гларгіну пацієнтам з порушенням функції нирок не досліджувалось. Однак у пацієнтів з порушенням функції нирок потреба в інсуліні може бути зменшена внаслідок зниження метаболізму інсуліну.

Пацієнти з порушенням функції печінки. Оскільки ліксисенатид виводиться головним чином нирками, за участю пацієнтів з гострою або хронічною печінковою недостатністю жодних фармакокінетичних досліджень не проводилось. Впливу порушення функції печінки на фармакокінетику ліксисенатиду не передбачається.

Застосування інсуліну гларгіну пацієнтам із цукровим діабетом та з порушенням функції печінки не досліджувалось. У пацієнтів з порушенням функції печінки потреба в інсуліні може бути зменшена у зв’язку зі зниженням здатності до глюконеогенезу та зниженням метаболізму інсуліну.

Вік, расова приналежність, стать та маса тіла пацієнта

Інсулін гларгін. Вплив віку, расової приналежності та статі пацієнта на фармакокінетику інсуліну гларгіну не вивчався. За результатами аналізу підгруп, сформованих за віком, расовою приналежністю та статтю, в рамках контрольованих клінічних досліджень серед дорослих пацієнтів, які отримували інсулін гларгін (100 од/мл), жодних відмінностей стосовно безпеки та ефективності застосування інсуліну гларгіну виявлено не було.

Ліксисенатид. Вік пацієнта не має клінічно значущого впливу на фармакокінетику ліксисенатиду. В рамках дослідження фармакокінетики за участю осіб літнього віку без цукрового діабету введення ліксисенатиду в дозі 20 мкг призводило до середнього підвищення AUC ліксисенатиду на 29 % (11 учасників дослідження були віком від 65 до 74 років і 7 учасників дослідження – віком ≥ 75 років) порівняно з 18 особами віком від 18 до 45 років, що, ймовірно, пов’язано зі зниженням функції нирок у осіб літнього віку.

Етнічна приналежність пацієнта не зумовлює клінічно значущого впливу на фармакокінетику ліксисенатиду, про що свідчать результати фармакокінетичних досліджень, проведених за участю представників європеоїдної раси, а також японської та китайської національностей.

Стать пацієнта не має клінічно значущого впливу на фармакокінетику ліксисенатиду.

Маса тіла пацієнта не має клінічно значущого впливу на AUC ліксисенатиду.

Імуногенність. За наявності антитіл до ліксисенатиду його експозиція та варіабельність його експозиції суттєво підвищуються незалежно від рівня дозування.

Діти

Дослідження застосування лікарського засобу Соліква® дітям не проводилися.

Доклінічні дані з безпеки

Жодних досліджень на тваринах із застосуванням комбінації інсуліну гларгіну та ліксисенатиду для оцінки токсичності при багатократному введенні, канцерогенезу, генотоксичності чи токсичного впливу на репродуктивну систему не проводилось.

Інсулін гларгін. Доклінічні дані, отримані у стандартних дослідженнях фармакологічної безпеки, токсичності при багатократному введенні, генотоксичності, канцерогенного потенціалу та токсичного впливу на репродуктивну систему, свідчать про відсутність будь-яких специфічних ризиків для людини при застосуванні інсуліну гларгіну.

Ліксисенатид. В рамках 2-річних досліджень канцерогенності при підшкірному введенні препарату у щурів та мишей спостерігалися нелетальні С-клітинні пухлини щитоподібної залози, які були розцінені як такі, що зумовлені негенотоксичним механізмом, опосередкованим рецепторами ГПП-1, до якого гризуни особливо чутливі. C-клітинна гіперплазія та аденома спостерігались у щурів на фоні застосування всіх досліджуваних доз, а максимальну дозу, при якій не відзначались небажані ефекти, визначити не вдалось. У мишей ці ефекти виникали при експозиції, що у 9,3 раза перевищувала експозицію в людей при застосуванні терапевтичних доз препарату. У мишей не спостерігалось С-клітинних карцином, а у щурів вони виникали при експозиції, що приблизно у 900 разів перевищувала експозицію у людей при застосуванні терапевтичних доз.

В рамках 2-річного дослідження канцерогенності при підшкірному введенні препарату у мишей відзначено 3 випадки аденокарциноми ендометрію зі статистично значущим підвищенням частоти цього захворювання в групі застосування середніх доз препарату, які зумовлювали експозицію, що перевищувала експозицію в людей у 97 разів. Жодних ефектів, пов’язаних із застосуванням препарату, відзначено не було.

Результати досліджень на тваринах не свідчать про будь-який безпосередній шкідливий вплив препарату на фертильність самців та самок щурів. У собак, яким вводився ліксисенатид, спостерігались оборотні порушення в яєчках та придатках яєчок. У здорових чоловіків не відзначено жодного впливу на сперматогенез, пов’язаного із застосуванням препарату.

У дослідженнях впливу препарату на внутрішньоутробний розвиток у щурів на фоні всіх досліджуваних доз ліксисенатиду (при експозиції, що у 5 разів перевищувала експозицію в людей) та у кролів при введенні високих доз препарату (при експозиції, що у 32 рази перевищувала експозицію в людей) спостерігались вади розвитку, сповільнення росту плода, затримка осифікації та побічні ефекти з боку скелета. В обох моделях досліджуваних тварин відзначалась незначна токсична дія на материнський організм, що проявлялась зменшенням споживання їжі та зниженням маси тіла. Спостерігалося сповільнення росту новонароджених щурят-самців, які піддавались дії високих доз ліксисенатиду впродовж пізнього гестаційного періоду та під час грудного вигодовування, та невелике збільшення показника їхньої смертності.

Клінічні характеристики

Показання

Лікарський засіб Соліква® застосовують для лікування дорослих пацієнтів із недостатньо контрольованим цукровим діабетом 2 типу з метою покращення контролю глікемії як доповнення до дієти і фізичних вправ на додаток до метформіну з інгібіторами натрійзалежного котранспортера глюкози-2 або без них.

Результати досліджень щодо впливу на контроль глікемії та досліджені групи пацієнтів див. у розділах «Фармакодинаміка» і «Особливості застосування».

Протипоказання

Гіперчутливість до діючих речовин або до будь-якої допоміжної речовини, що входить до складу препарату.

Взаємодія з іншими лікарськими засобами та інші види взаємодій

Досліджень взаємодії лікарського засобу Соліква® з іншими лікарськими засобами не проводилось. Інформація, наведена нижче, ґрунтується на результатах досліджень, проведених з окремими компонентами препарату.

Фармакодинамічні взаємодії. Існує ряд речовин, які впливають на метаболізм глюкози, у зв’язку з чим їхнє застосування може призводити до необхідності корекції дозування лікарського засобу Соліква®.

До речовин, які можуть посилювати цукрознижувальний ефект та збільшувати схильність до виникнення гіпоглікемії, належать протидіабетичні лікарські засоби, інгібітори ангіотензинперетворювального ферменту (АПФ), дизопірамід, фібрати, флуоксетин, інгібітори моноаміноксидази (МАО), пентоксифілін, пропоксифен, саліцилати та сульфаніламідні антибіотики.

До речовин, які можуть послаблювати цукрознижувальний ефект, належать кортикостероїди, даназол, діазоксид, діуретики, глюкагон, ізоніазид, естрогени та прогестини, похідні фенотіазину, соматропін, симпатоміметичні лікарські засоби (наприклад епінефрин (адреналін), сальбутамол, тербуталін), гормони щитоподібної залози, атипові антипсихотичні лікарські засоби (наприклад клозапін та оланзапін) та інгібітори протеаз.

Бета-адреноблокатори, клонідин, солі літію або алкоголь можуть як посилювати, так і послаблювати цукрознижувальний ефект інсуліну. Пентамідин може спричинити гіпоглікемію, після якої інколи може розвинутись гіперглікемія.

Крім того, під дією симпатолітичних засобів, таких як бета-адреноблокатори, клонідин, гуанетидин та резерпін, ознаки адренергічної контррегуляції можуть послаблюватись або зовсім зникати.

Фармакокінетичні взаємодії. Ліксисенатид є пептидом та не метаболізується за участю цитохрому Р450. За результатами досліджень в умовах in vitro ліксисенатид не впливав на активність ізоферментів цитохрому Р450 та транспортерів людини.

Про жодні фармакокінетичні взаємодії інсуліну гларгіну невідомо.

Вплив спорожнення шлунка на дію пероральних лікарських засобів. Сповільнення спорожнення шлунка, зумовлене застосуванням ліксисенатиду, може зменшувати швидкість абсорбції лікарських засобів, що приймаються перорально. За станом пацієнтів, що отримують лікарські засоби, які мають вузький терапевтичний індекс або які вимагають ретельного клінічного моніторингу, повинен здійснюватися ретельний нагляд, особливо на початку лікування ліксисенатидом. Ці лікарські засоби повинні прийматись у стандартизованому порядку відносно прийому ліксисенатиду. Якщо такі лікарські засоби повинні прийматись з їжею, то пацієнтам потрібно рекомендувати по можливості приймати їх з тим прийомом їжі, коли не виконується введення ліксисенатиду.

Що стосується пероральних лікарських засобів, ефективність яких особливо залежить від порогових концентрацій, наприклад антибіотиків, то пацієнтам потрібно рекомендувати приймати такі лікарські засоби принаймні за 1 годину до або через 4 години після ін’єкції ліксисенатиду.

Кишковорозчинні лікарські форми, які містять речовини, чутливі до розщеплення в шлунку, слід приймати за 1 годину до або через 4 години після ін’єкції ліксисенатиду.

Парацетамол. Парацетамол використовувався як модель лікарського засобу для оцінки впливу ліксисенатиду на спорожнення шлунка. Після однократного прийому парацетамолу в дозі 1000 мг AUC та час напіввиведення парацетамолу (t1/2) залишалися незміненими незалежно від часу прийому препарату (до або після ін’єкції ліксисенатиду). При застосуванні парацетамолу через 1 годину або через 4 години після введення 10 мкг ліксисенатиду Cmax парацетамолу зменшувалася на 29 % і 31 % відповідно, а медіана tmax збільшувалася на 2,0 і 1,75 години відповідно. Прогнозується, що при введенні ліксисенатиду в підтримувальній дозі 20 мкг буде спостерігатися ще більше зростання tmax і зниження Cmax парацетамолу.

При прийомі парацетамолу за 1 годину до введення ліксисенатиду Cmax і tmax парацетамолу не змінювались.

З огляду на наведені результати необхідність у корекції дозування парацетамолу відсутня, але подовження tmax, яке спостерігалося, коли парацетамол приймався через 1–4 години після введення ліксисенатиду, потрібно враховувати, коли для ефективності необхідний швидкий початок дії.

Пероральні контрацептиви. У разі однократного прийому перорального контрацептиву (етинілестрадіолу 0,03 мг / левоноргестрелу 0,15 мг) за 1 годину до або через 11 годин після введення 10 мкг ліксисенатиду Cmax, AUC, t1/2 і tmax етинілестрадіолу та левоноргестрелу не змінювалися.

Прийом перорального контрацептиву за 1 годину або через 4 години після введення ліксисенатиду не призвів до змін AUC і t1/2 етинілестрадіолу та левоноргестрелу, хоча Cmax етинілестрадіолу знижувалася на 52 % і 39 % відповідно, Cmax левоноргестрелу знижувалася на 46 % і 20 % відповідно, а медіана tmax збільшувалася на 1–3 години. Таке зниження Cmax має обмежену клінічну значущість, і необхідність у корекції дозування пероральних контрацептивів відсутня.

Аторвастатин. При супутньому застосуванні ліксисенатиду в дозі 20 мкг та аторвастатину в дозі 40 мг, які приймалися вранці впродовж 6 днів, експозиція аторвастатину не змінювалася, тоді як Cmax знижувалася на 31 %, а tmax подовжувався на 3,25 години.

Такого збільшення tmax не спостерігалось у разі, коли аторвастатин приймався ввечері, а ліксисенатид вводився вранці, але AUC і Cmax аторвастатину при цьому збільшувалися на 27 % і 66 % відповідно.

Ці зміни не є клінічно значущими, тому необхідності у корекції дозування аторвастатину при його супутньому застосуванні з ліксисенатидом немає.

Варфарин та інші похідні кумарину. При одночасному застосуванні варфарину в дозі 25 мг та багатократному введенні ліксисенатиду в дозі 20 мкг не відмічалося жодного впливу на AUC або МНВ (міжнародне нормалізоване відношення), тоді як Cmax знижувалася на 19 %, а tmax подовжувався на 7 годин.

З огляду на ці дані необхідності у корекції дозування варфарину при його супутньому застосуванні з ліксисенатидом немає; однак на початку та при завершенні лікування ліксисенатидом у пацієнтів, які приймають варфарин і/або інші похідні кумарину, рекомендується здійснювати частий моніторинг МНВ.

Дигоксин. При супутньому застосуванні ліксисенатиду в дозі 20 мкг та дигоксину в дозі 0,25 мг у рівноважному стані AUC дигоксину не змінювалася. При цьому tmax дигоксину збільшився на 1,5 години, а Cmax зменшилася на 26 %.

З огляду на ці дані необхідності у корекції дозування дигоксину при його супутньому застосуванні з ліксисенатидом немає.

Раміприл. При супутньому застосуванні ліксисенатиду в дозі 20 мкг і раміприлу в дозі 5 мг впродовж 6 днів AUC раміприлу збільшилася на 21 %, тоді як Cmax зменшилася на 63 %. При цьому AUC і Cmax активного метаболіту (раміприлату) не змінювалися. Значення tmax раміприлу і раміприлату збільшилося приблизно на 2,5 години.

З огляду на ці дані необхідності у корекції дозування раміприлу при його супутньому застосуванні з ліксисенатидом немає.

Особливості застосування

Простежування

З метою покращення простежування біологічних лікарських засобів слід чітко фіксувати назву та номер серії введеного лікарського засобу в медичній документації пацієнта.

Цукровий діабет 1 типу

Цей лікарський засіб не слід застосовувати пацієнтам із цукровим діабетом 1 типу або для лікування діабетичного кетоацидозу.

Зміна місця ін’єкції

Пацієнтів необхідно попередити про необхідність постійно змінювати місце ін’єкції, щоб зменшити ризик розвитку ліподистрофії та амілоїдозу шкіри. Існує потенційний ризик затримки абсорбції інсуліну та погіршення глікемічного контролю після ін’єкцій інсуліну в місцях цих реакцій. Повідомляється, що зміна місця ін’єкції на нову анатомічну ділянку шкіри призводить до гіпоглікемії. Рекомендується проводити моніторинг рівня глюкози в крові після зміни місця введення, і можна розглянути можливість коригування дози антидіабетичних препаратів.

Гіпоглікемія

Гіпоглікемія була небажаною реакцією, про яку повідомлялось найчастіше при лікуванні препаратом (див. розділ «Побічні реакції»). Гіпоглікемія може виникати, якщо доза лікарського засобу Соліква® є вищою, ніж необхідна.

Фактори, які підвищують схильність до виникнення гіпоглікемії, вимагають особливо ретельного моніторингу та можуть призводити до необхідності корекції дозування препарату. До таких факторів належать:

-            зміна ділянки ін’єкції,

-            збільшення чутливості до інсуліну (наприклад, при усуненні стресових факторів),

-            незвичне, надмірне або тривале фізичне навантаження,

-            супутнє захворювання (наприклад таке, що супроводжується блюванням, діареєю),

-            недостатнє харчування,

-            пропуск прийому їжі,

-            вживання алкоголю,

-            деякі некомпенсовані ендокринні розлади (наприклад гіпотиреоз та недостатність передньої долі гіпофіза чи адренокортикальна недостатність),

-            одночасне застосування деяких інших лікарських засобів (див. розділ «Взаємодія з іншими лікарськими засобами та інші види взаємодій»),

-            при застосуванні ліксисенатиду і/або інсуліну в комбінації з препаратами сульфонілсечовини може підвищуватись ризик виникнення гіпоглікемії, у зв’язку з чим цей лікарський засіб не слід застосовувати в комбінації з препаратами сульфонілсечовини.

Дозування лікарського засобу Соліква® потрібно підбирати індивідуально, з урахуванням клінічної відповіді, а його титрування здійснювати відповідно до потреби пацієнта в інсуліні (див. розділ «Спосіб застосування та дози»).

Гострий панкреатит

Застосування агоністів рецепторів до глюкагоноподібного пептиду-1 (ГПП-1) асоціюється з ризиком розвитку гострого панкреатиту. Повідомлялося про невелику кількість випадків гострого панкреатиту на фоні застосування ліксисенатиду, хоча причинно-наслідкового зв’язку з прийомом препарату встановлено не було. Пацієнтів потрібно проінформувати про характерні симптоми гострого панкреатиту, такі як постійний сильний біль в животі. У разі підозри на панкреатит застосування лікарського засобу необхідно припинити; якщо гострий панкреатит підтверджується, прийом ліксисенатиду не слід відновлювати. Потрібно дотримуватись обережності при призначенні препарату пацієнтам з наявністю панкреатиту в анамнезі.

Тяжке захворювання шлунково-кишкового тракту

Застосування агоністів рецепторів ГПП-1 може бути асоційоване з небажаними реакціями з боку шлунково-кишкового тракту (див. розділ «Побічні реакції»). Не досліджувалось застосування препарату пацієнтам із тяжкими шлунково-кишковими захворюваннями, включаючи тяжкий гастропарез, у зв’язку з чим застосування лікарського засобу Соліква® таким пацієнтам не рекомендується.

Тяжке порушення функції нирок

Терапевтичний досвід застосування препарату пацієнтам із тяжким порушенням функції нирок (кліренс креатиніну менше 30 мл/хв) та при термінальній стадії ниркової недостатності відсутній. Застосування препарату пацієнтам із тяжким порушенням функції нирок та при термінальній стадії ниркової недостатності не рекомендується (див. розділи «Фармакологічні властивості. Фармакокінетика» і «Спосіб застосування та дози»).

Одночасне застосування інших лікарських засобів

Сповільнення спорожнення шлунка, зумовлене застосуванням ліксисенатиду, може зменшувати швидкість абсорбції лікарських засобів, що приймаються перорально. Лікарський засіб Соліква® потрібно застосовувати з обережністю пацієнтам, що отримують лікарські засоби, для яких є необхідною швидка абсорбція в шлунково-кишковому тракті, які вимагають ретельного клінічного моніторингу або які мають вузький терапевтичний індекс. Конкретні рекомендації стосовно прийому таких лікарських засобів наведено в розділі «Взаємодія з іншими лікарськими засобами та інші види взаємодій».

Аспірація в поєднанні із загальною анестезією або глибокою седацією

Повідомлялося про випадки легеневої аспірації у пацієнтів, які отримували агоністи рецепторів ГПП-1 під загальною анестезією або глибокою седацією. Таким чином, перед виконанням процедур із загальною анестезією або глибокою седацією слід враховувати підвищений ризик залишкового вмісту шлунка внаслідок сповільнення спорожнення шлунка (див. розділ «Побічні реакції»).

Дегідратація

Пацієнтам, що отримують цей лікарський засіб, необхідно повідомляти про потенційний ризик дегідратації, пов’язаний з небажаними реакціями з боку шлунково-кишкового тракту, і стосовно таких пацієнтів потрібно вживати заходів для запобігання гіповолемії.

Утворення антитіл

Застосування лікарського засобу  може призводити до утворення антитіл до інсуліну гларгіну і/або ліксисенатиду. У рідкісних випадках наявність таких антитіл може зумовлювати необхідність корекції дозування з метою усунення схильності до розвитку гіпер- або гіпоглікемії.

Уникнення помилок в застосуванні лікарського засобу

Пацієнти повинні бути проінструктовані щодо необхідності обов’язкової перевірки маркування шприц-ручки перед кожною ін’єкцією для уникнення випадкової плутанини між двома різними дозуваннями лікарського засобу Соліква® та плутанини з іншими ін’єкційними протидіабетичними лікарськими засобами.

Для уникнення помилок в дозуванні та потенційного передозування ні пацієнти, ні медичні працівники ніколи не повинні використовувати шприц для забору лікарського засобу з картриджа попередньо наповненої шприц-ручки.

Протидіабетичні лікарські засоби, застосування яких у комбінації з лікарським засобом Соліква® не досліджувалося

Застосування лікарського засобу Соліква® не досліджувалося в комбінації з інгібіторами дипептидилпептидази-4 (ДПП-4), препаратами сульфонілсечовини, глінідами та піоглітазоном.

Подорож

Щоб уникнути помилок у дозуванні та можливих передозувань при переході на інший часовий пояс, пацієнту слід проконсультуватися з лікарем перед подорожжю.

Допоміжні речовини

Цей лікарський засіб містить менше 1 ммоль натрію (23 мг) на одну дозу, тобто можна вважати, що він практично не містить натрію.

Цей лікарський засіб містить метакрезол, який може спричинити алергічні реакції.

Застосування у період вагітності або годування груддю

Лікарський засіб Соліква® не рекомендується застосовувати жінкам репродуктивного віку, які не використовують засоби контрацепції.

Вагітність. Не існує клінічних даних, отриманих у ході контрольованих клінічних досліджень, стосовно застосування лікарського засобу Соліква®, інсуліну гларгіну або ліксисенатиду у період вагітності. Великий обсяг даних щодо застосування інсуліну гларгіну вагітними жінками (більше 1000 випадків вагітності) не вказує на мальформативну та фето/неонатальну токсичність інсуліну гларгіну. Дослідження на лабораторних тваринах не виявили ознак репродуктивної токсичності інсуліну гларгіну.

Немає або наявна обмежена кількість належних даних щодо застосування ліксисенатиду вагітним жінкам. Результати досліджень на тваринах свідчать про наявність репродуктивної токсичності ліксисенатиду (див. розділ «Фармакологічні властивості. Доклінічні дані з безпеки»).

Лікарський засіб не рекомендується для застосування під час вагітності та жінкам репродуктивного віку, які не використовують засоби контрацепції.

Годування груддю. Невідомо, чи інсулін гларгін або ліксисенатид екскретується в грудне молоко у людини. Ризик для новонароджених/немовлят не можна виключити. Слід припинити годування груддю під час лікування цим лікарським засобом.

Фертильність. Дослідження на лабораторних тваринах не виявили безпосереднього шкідливого впливу ліксисенатиду чи інсуліну гларгіну на фертильність.

Здатність впливати на швидкість реакції при керуванні автотранспортом або іншими механізмами

Лікарський засіб Соліква® не впливає або має незначний вплив на здатність керувати транспортними засобами або працювати з іншими механізмами. Однак здатність пацієнта до концентрації уваги та швидкість його реакції можуть порушуватися внаслідок виникнення гіпоглікемії чи гіперглікемії або, наприклад, внаслідок зорових розладів. Це може бути небезпечним у ситуаціях, коли ці якості є особливо важливими (наприклад, під час керування транспортним засобом або роботи з іншими механізмами).

Пацієнтам необхідно порадити вживати необхідних запобіжних заходів з метою уникнення гіпоглікемії під час керування транспортним засобом або роботи з іншими механізмами. Це є особливо важливим для тих пацієнтів, у яких перші ознаки розвитку гіпоглікемії є слабко вираженими або взагалі відсутні, а також для тих хворих, у яких часто виникає гіпоглікемія. Необхідно ретельно зважувати, чи варто сідати за кермо або працювати з іншими механізмами у такому стані.

Спосіб застосування та дози

Лікарський засіб Соліква® доступний у двох типах попередньо наповнених шприц-ручок з різними опціями дозування, а саме шприц-ручка Соліква® (10–40) та шприц-ручка Соліква® (30–60). Відмінність між дозуваннями шприц-ручок пов’язана з їхніми діапазонами дозування.

•       Соліква® 100 од/мл + 50 мкг/мл у попередньо наповненій шприц-ручці: діапазон дозування становить від 10 до 40 одиниць інсуліну гларгіну в комбінації з 520 мкг ліксисенатиду (шприц-ручка Соліква® (10–40)).

•       Соліква® 100 од/мл + 33 мкг/мл у попередньо наповненій шприц-ручці: діапазон дозування становить від 30 до 60 одиниць інсуліну гларгіну в комбінації з 1020 мкг ліксисенатиду (шприц-ручка Соліква® (30–60)).

Для уникнення помилок в застосуванні препарату лікар, що його призначає, повинен впевнитись, що в рецепті зазначено правильне дозування та діапазон поділок дозування шприц-ручки (див. розділ «Особливості застосування»).

Дозування

Дозування потрібно підбирати індивідуально, з урахуванням індивідуальної відповіді хворого, а його титрування здійснювати відповідно до потреби пацієнта в інсуліні. Дозування ліксисенатиду підвищується або знижується разом з дозуванням інсуліну гларгіну і також залежить від того, яка шприц-ручка використовується.

Початкова доза. Терапію базальним інсуліном або агоністом рецепторів глюкагоноподібного пептиду-1 (ГПП-1), або пероральним цукрознижувальним лікарським засобом, за винятком метформіну та інгібіторів натрійзалежного котранспортера глюкози-2 (НЗКТГ-2), перед початком застосування лікарського засобу Соліква® слід припинити.

Початкова доза лікарського засобу визначається на підставі попереднього протидіабетичного лікування, при цьому рекомендована початкова доза ліксисенатиду не повинна перевищувати 10 мкг (див. таблицю 4).

Таблиця 4

Попередня терапія

Пацієнти, які раніше не отримували інсулін (пероральні протидіабетичні препарати або агоніст рецептора ГПП-1)

Інсулін гларгін (100 од/мл)** ≥ 20 до < 30 од

Інсулін гларгін (100 од/мл)** ≥ 30 до ≤ 60 од

Початкова доза і тип шприц-ручки

Шприц-ручка Соліква® (1040)

10 поділок дозування (10 од/5 мкг)

20 поділок дозування (20 од/10 мкг)*

Шприц-ручка Соліква® (3060)

30 поділок дозування (30 од/10 мкг)*

* Одиниць інсуліну гларгіну (100 од/мл) / мкг ліксисенатиду.

Пацієнти, які застосовують менше 20 од інсуліну гларгіну, можуть вважатися такими, що раніше не отримували інсулін.

** Якщо застосовувався інший базальний інсулін:

•       При застосуванні базального інсуліну два рази на добу або інсуліну гларгіну (300 од/мл) попередня загальна добова доза повинна бути знижена на 20 % при виборі початкової дози лікарського засобу Соліква®.

•       При застосуванні будь-якого іншого базального інсуліну потрібно застосовувати таке ж правило, як для інсуліну гларгіну (100 од/мл).

Максимальна добова доза становить 60 одиниць інсуліну гларгіну та 20 мкг ліксисенатиду, що відповідає 60 поділкам дозування.

Ін’єкцію лікарського засобу Соліква® потрібно здійснювати один раз на добу в межах однієї години перед їдою. Бажано, щоб прандіальна ін’єкція виконувалася перед одним і тим самим прийомом їжі щодня після того, як пацієнт обере найбільш зручний для себе прийом їжі.

Титрування дозування. Лікарський засіб потрібно вводити відповідно до індивідуальних потреб пацієнта в інсуліні. Контроль глікемії рекомендується оптимізувати шляхом корекції дозування на підставі рівнів глюкози в плазмі крові натще (див. розділ «Фармакологічні властивості», підрозділ «Фармакодинаміка»). Під час переведення на цей препарат та впродовж перших тижнів після цього рекомендується здійснювати ретельний моніторинг рівнів глюкози.

•       Якщо пацієнт починає застосовувати шприц-ручку Соліква® (10–40), тоді дозування може бути титроване до 40 поділок дозування.

•       Для дозування > 40 поділок дозування на добу титрування потрібно продовжувати з використанням шприц-ручки Соліква® (30–60).

•       Якщо пацієнт починає застосовувати шприц-ручку Соліква® (30–60), тоді дозування може бути титроване до 60 поділок дозування.

•       Для загального добового дозування > 60 поділок дозування лікарський засіб не слід застосовувати.

Пацієнти, які коригують кількість або час введення препарату, повинні здійснювати це тільки під медичним наглядом з відповідним моніторингом рівнів глюкози (див. розділ «Особливості застосування»).

Пропущена доза. Якщо доза лікарського засобу пропущена, її слід ввести в межах однієї години до наступного прийому їжі.

Особливі категорії пацієнтів

Пацієнти літнього віку (≥ 65 років)

Лікарський засіб можна застосовувати пацієнтам літнього віку. Дозування потрібно підбирати індивідуально, з урахуванням результатів моніторингу рівнів глюкози. У пацієнтів літнього віку прогресуюче погіршення функції нирок може стати причиною постійного зменшення потреби в інсуліні. Корекція дози ліксисенатиду залежно від віку пацієнта не потрібна. Досвід терапевтичного застосування препарату пацієнтам віком ≥ 75 років є обмеженим.

Пацієнти з порушенням функції нирок

Лікарський засіб не рекомендується застосовувати пацієнтам з тяжким порушенням функції нирок та при термінальній стадії ниркової недостатності, оскільки досвід терапевтичного застосування ліксисенатиду в таких випадках є недостатнім.

Для пацієнтів з легким або помірним порушенням функції нирок корекція дозування ліксисенатиду не потрібна.

У пацієнтів з порушенням функції нирок потреба в інсуліні може бути зменшена у зв’язку зі зниженням метаболізму інсуліну.

У пацієнтів з легким або помірним порушенням функції нирок, що застосовують лікарський засіб Соліква®, може виникати необхідність у частому моніторингу рівнів глюкози та у відповідній корекції дозування.

Пацієнти з порушенням функції печінки

Для пацієнтів з порушенням функції печінки корекція дозування ліксисенатиду не потрібна (див. розділ «Фармакологічні властивості», підрозділ «Фармакокінетика»). У пацієнтів з порушенням функції печінки потреба в інсуліні може бути зменшена у зв’язку зі зниженням здатності до глюконеогенезу та зниженням метаболізму інсуліну. У пацієнтів з порушенням функції печінки може виникати необхідність частого моніторингу рівнів глюкози та відповідної корекції дозування.

Діти

Лікарський засіб не передбачений для застосування дітям.

Спосіб введення. Лікарський засіб слід вводити шляхом підшкірної ін’єкції в ділянку живота, дельтоподібного м’яза або стегна.

Місця для ін’єкцій потрібно змінювати в межах однієї анатомічної ділянки (живота, дельтоподібного м’яза або стегна) від однієї ін’єкції до іншої з метою зменшення ризику виникнення ліподистрофії та/або шкірного амілоїдозу (див. розділ «Особливості застосування» та «Побічні реакції»).

Пацієнти повинні бути проінструктовані про постійну необхідність використання нової голки. Повторне використання голки інсулінової шприц-ручки збільшує ризик її блокування, що може призводити до введення недостатньої або надмірної дози препарату. У разі блокування шприц-ручки пацієнт повинен слідувати інструкціям, що наводяться нижче у підрозділі «Інструкція з використання шприц-ручки Соліква®».

Лікарський засіб не дозволяється відбирати з картриджа попередньо наповненої шприц-ручки у шприц, щоб запобігти помилкам дозування та потенційному передозуванню (див. розділ «Особливості застосування»).

Особливі застереження при використанні препарату

Перед першим застосуванням шприц-ручку потрібно витягнути з холодильника та потримати при температурі не вище 25 °C впродовж 1–2 годин.

Перед використанням перевіряють картридж шприц-ручки. Його можна використовувати лише тоді, коли в ньому міститься прозорий безбарвний розчин, який за консистенцією нагадує воду, без видимих твердих частинок.

Лікарський засіб не можна змішувати з будь-яким іншим інсуліном або розводити. При змішуванні або розведенні може змінитись профіль дії препарату в часі; крім цього, змішування з іншими препаратами може призвести до утворення осаду.

Перед кожною ін’єкцією завжди необхідно під’єднувати нову голку. Повторно використовувати голки не можна. Пацієнт повинен утилізовувати голку після кожної ін’єкції.

Голки не включені до упаковки.

У випадку блокування голки пацієнтам необхідно дотримуватись рекомендацій, описаних у КРОЦІ 3 Інструкції з використання шприц-ручки Соліква® (див. нижче).

Порожні шприц-ручки в жодному разі не можна використовувати повторно, вони повинні бути належним чином утилізовані.

Для запобігання можливій передачі захворювань кожна шприц-ручка повинна використовуватись тільки одним пацієнтом.

Перед кожною ін’єкцією потрібно завжди перевіряти етикетку, щоб уникнути плутанини між лікарським засобом Соліква® та іншими ін’єкційними протидіабетичними лікарськими засобами, включаючи два різні типи шприц-ручок з препаратом Соліква® (див. розділ «Особливості застосування»).

Перед застосуванням лікарського засобу слід уважно прочитати розділ «Інструкція з використання шприц-ручки Соліква®».

Важлива інформація щодо використання шприц-ручки Соліква®

•   Шприц-ручка призначена особисто Вам і не слід передавати її іншим особам.

•   Не можна використовувати шприц-ручку у разі її пошкодження або при наявності сумніву щодо правильності її функціонування.

•   Завжди слід проводити тест на безпеку (дивіться КРОК 3).

•   Завжди необхідно мати запасну шприц-ручку і запасні голки на випадок втрати або пошкодження основного набору.

• Завжди слід перевіряти етикетку шприц-ручки перед застосуванням, щоб переконатися, що використовується коректна шприц-ручка.

Що потрібно знати для проведення ін’єкції

•       Перед використанням шприц-ручки слід запитати свого лікаря або медсестру, як робиться ін’єкція.

•       Якщо у Вас є які-небудь складнощі з використанням шприц-ручки, наприклад, через проблеми з зором, зверніться за допомогою.

•       Перед використанням шприц-ручки слід перечитати цю інструкцію. У разі недотримання цих настанов Ви можете отримати надто високу або низьку дозу препарату.

Додаткові речі, які будуть потрібні при введені цього препарату:

•   нова стерильна голка (дивіться КРОК 2);

•   змочений спиртом тампон;

•   стійкий для проколювання контейнер для використаних голок та шприц-ручок.

ІНСТРУКЦІЯ

з використання шприц-ручки Соліква®

Препарат соліква®

* Поршень не буде видно, доки Ви не введете декілька доз.

КРОК 1. Перевірте свою шприц-ручку.

Щонайменше за 1 годину до проведення ін’єкцій вийміть нову шприц-ручку з холодильника. Введення холодного препарату є більш болісним. Після першого використання шприц-ручки її слід зберігати при температурі не вище 25 оС.

A.      Перевірте назву препарату і дату закінчення терміну придатності на етикетці шприц-ручки.

•                Переконайтеся в тому, що Ви взяли потрібний Вам препарат. Ця шприц-ручка оливкового кольору, вона має коричневу кнопку для виконання ін’єкції.

•                Не використовуйте цю шприц-ручку, якщо Вам потрібна добова доза, що відповідає менше ніж 30 поділкам дозування або більше ніж 60 поділкам дозування. Обговоріть з Вашим лікарем, яка шприц-ручка найкраще підходить з огляду на Ваші потреби.

•                Не використовуйте шприц-ручку після закінчення її терміну придатності.

Пакування соліква®

B.       Зніміть ковпачок зі шприц-ручки.

Властивості соліква®

С. Впевніться у тому, що препарат є прозорим.

  • Подивіться на прозорий тримач картриджу. Не використовуйте шприц-ручку, якщо розчин препарату є мутним на вигляд, забарвленим або містить часточки.

Рецепт соліква®

КРОК 2. Приєднайте нову голку.

•                Не використовуйте голки повторно. Для виконання кожної ін’єкції завжди використовуйте нову стерильну голку. Це допомагає запобігати блокуванню голки, забрудненню та занесенню інфекції.

•                Завжди використовуйте тільки такі голки, які є сумісними для використання з лікарським засобом Соліква®.

А. Візьміть нову голку та відклейте захисну плівку.

Зображення соліква®

В. Тримайте голку прямо і закрутіть її на шприц-ручку до закріплення. Не закручуйте голку занадто сильно.

Схема соліква®

С. Зніміть зовнішній ковпачок з голки. Збережіть його – він знадобиться пізніше.

Вплив соліква®

D.    Зніміть внутрішній ковпачок голки та викиньте його.

Якщо Ви будете намагатися вдягнути його знову, Ви можете випадково вколотися голкою.

Показання соліква®

Користування голками

Поводьтеся з голками з обережністю, це необхідно, щоб запобігти уколам голкою і перехресному інфікуванню.

КРОК 3. Виконайте тест на безпеку.

Завжди виконуйте тест на безпеку перед кожною ін’єкцією, це необхідно, щоб:

•                перевірити, що Ваша шприц-ручка і голка працюють правильно;

•                впевнитися у тому, що Ви отримаєте потрібну Вам дозу препарату.

A.  Оберіть 2 поділки дозування, обертаючи перемикач для вибору дози, поки покажчик дози не буде вказувати на риску «2».

Опис соліква®

B.  Натисніть кнопку для виконання ін’єкції до упору.

Якщо з кінчика голки буде виходити розчин препарату, Ваша шприц-ручка працює правильно. Перемикач для вибору дози повернеться у положення «0».

Лікарський засіб соліква®

Якщо розчин препарату не виходить:

•                Вам може бути потрібно повторити цей крок до 3 разів, перш ніж Ви зможете побачити розчин препарату.

•                Якщо розчин препарату не виходитиме і після третього разу, голка може бути заблокована. Якщо таке станеться:

- замініть голку (див. КРОК 6 і КРОК 2);

- після цього виконайте тест на безпеку повторно (КРОК 3).

•                Якщо і після цього розчин препарату не виходитиме з кінчика голки, не використовуйте Вашу шприц-ручку. Використайте нову шприц-ручку.

•                Не використовуйте шприц для відбору розчину препарату з Вашої шприц-ручки.

Якщо Ви побачите бульбашки повітря:

•                Ви можете побачити бульбашки повітря в розчині препарату. Це нормальне явище, вони не зашкодять Вам.

КРОК 4. Оберіть дозу.

•                Використовуйте цю шприц-ручку лише для введення однократної щоденної дози, об’єм якої відповідає від 30 до 60 поділкам дозування.

•                 Ніколи не обирайте дозу або не натискайте на кнопку для виконання ін’єкції без приєднаної голки. Це може пошкодити Вашу шприц-ручку.

A.  Впевніться у тому, що голка приєднана до шприц-ручки і що покажчик дози вказує на «0».

Фото соліква®

B.  Обертайте перемикач для вибору дози, поки покажчик дози не буде вказувати на потрібну Вам дозу.

•                     Якщо Ви повернете перемикач далі, ніж Вам потрібно, Ви можете повернути його у зворотному напрямку.

           Якщо у Вашій шприц-ручці залишилося недостатньо одиниць для Вашої дози, перемикач для вибору дози зупиниться після набору тієї кількості одиниць, що залишилися в шприц-ручці.

•           Якщо Ви не можете набрати повну дозу, призначену Вам, використайте  нову шприц-ручку або введіть стільки поділок дозування, скільки залишилося, а решту дози введіть з нової шприц-ручки. В цьому і тільки в цьому випадку дозволяється вводити часткову дозу, яка відповідає менше ніж 30 поділкам дозування. Для того щоб завершити отримання Вашої дози, завжди використовуйте іншу шприц-ручку з препаратом Соліква® (30–60), а не будь-яку іншу шприц-ручку.

Як зчитувати дані у вікні відображення дози

•            Парні числа відображаються поруч із покажчиком дози, а непарні – у вигляді лінії між парними числами.

Дія соліква®

•            Не використовуйте шприц-ручку, якщо Ваша однократна доза відповідає менше ніж 30 поділкам дозування (ці поділки дозування позначені білими цифрами на чорному фоні).

Виробник соліква®

Кількість одиниць препарату у Вашій шприц-ручці

•            Ваша шприц-ручка містить загалом 300 поділок дозування. Ви можете обирати свою дозу з кроком в 1 поділку дозування.

•            Не використовуйте цю шприц-ручку, якщо Вам потрібна однократна добова доза, яка відповідає менше ніж 30 поділкам дозування або більше ніж 60 поділкам дозування. Обговоріть з Вашим лікарем, яка шприц-ручка найкраще підходить з огляду на Ваші потреби.

•            Кожна шприц-ручка містить більше однієї добової дози.

КРОК 5. Введіть необхідну Вам дозу.

Якщо Ви відчуєте, що Вам важко натискати на кнопку для виконання ін’єкції, не докладайте силу для її натискання, оскільки це може зламати Вашу шприц-ручку.

•  Замініть голку (див. КРОК 6 «Від’єднайте голку» і КРОК 2 «Приєднайте нову голку»), після чого виконайте тест з безпеки (див. КРОК 3).

•  Якщо Вам все ще важко натискати на кнопку, візьміть нову ручку.

•  Не використовуйте шприц для відбору розчину препарату з Вашої шприц-ручки.

A.      Оберіть місце для виконання інєкції відповідно до рисунка, наведеного нижче.

Інструкція соліква®

B.       Введіть голку собі у шкіру так, як Вам показував Ваш лікар або медична сестра.

•  При цьому поки що не торкайтеся кнопки для виконання ін’єкції.

Склад соліква®

C.      Покладіть великий палець руки на кнопку для виконання ін’єкції. Після цього натисніть її до упору і утримуйте в такому положенні.

•  Не натискайте на кнопку під кутом, оскільки Ваш великий палець може заблокувати обертання перемикача для вибору дози.

Застосування соліква®

D.      Утримуйте кнопку для виконання ін’єкції в натиснутому положенні і після того, як Ви побачите у вікні відображення дози «0», повільно порахуйте до 10.

Це необхідно для того, щоб впевнитися в отриманні повної дози препарату

Препарат соліква®

E.       Після утримання кнопки і повільного рахування до 10 відпустіть кнопку для виконання ін’єкції. Після цього витягніть голку зі шкіри.

КРОК 6. Від’єднайте голку.

•  Поводьтеся з голками з обережністю. Це необхідно, щоб запобігти уколу голкою і перехресному інфікуванню.

•  Не надягайте знову внутрішній ковпачок голки.

A.      Візьміть зовнішній ковпачок голки за його найширшу частину. Тримайте голку прямо і введіть її у зовнішній ковпачок голки. Після цього міцно притисніть їх один до одного.

•  Голка може проколоти ковпачок, якщо він надягається під кутом.

Пакування соліква®

B.       Візьміть зовнішній ковпачок голки за його найширшу частину та стисніть його у цьому місці. Іншою рукою поверніть шприц-ручку декілька разів для від’єднання голки.

•  Якщо голка не від’єдналася з першого разу, спробуйте знову.

Властивості соліква®

C.      Викиньте використану голку у стійкий до проколювань контейнер або відповідно до рекомендацій Вашого лікаря чи місцевого уповноваженого органу.

Рецепт соліква®

D.      Надягніть ковпачок шприц-ручки назад на шприц-ручку.

•  Не кладіть шприц-ручку назад у холодильник.

Зображення соліква®

Інструкції щодо зберігання

Перед першим використанням шприц-ручку зберігати у холодильнику при температурі від +2 °С до +8 °С у захищеному від світла місці. Не заморожувати.

Після першого використання шприц-ручку слід зберігати не більше 28 днів при кімнатній температурі нижче 25 °С у захищеному від світла місці.

Не кладіть Вашу шприц-ручку назад у холодильник. Не заморожуйте.

Після кожної ін’єкції на шприц-ручку слід знову надягати ковпачок з метою захисту від світла. Не можна зберігати шприц-ручку з прикріпленою до неї голкою. 

Експлуатація

Зі шприц-ручкою слід поводитися з обережністю. Якщо Вам здається, що шприц-ручку пошкоджено, не намагайтеся її полагодити, візьміть нову.

Захист шприц-ручки від пилу та бруду: зовнішню поверхню шприц-ручки можна очищати, протираючи її вологою тканиною (змоченою лише водою). Не занурюйте у рідину, не промивайте і не змащуйте шприц-ручку, оскільки це може її пошкодити.

Утилізація шприц-ручки: перед утилізацією шприц-ручки зніміть з неї голку. Викидайте шприц-ручку так, як рекомендовано місцевими регуляторними органами.

Діти

Безпека та ефективність застосування лікарського засобу Соліква® для лікування дітей (віком до 18 років) не встановлені. Дані з цього приводу відсутні.

Передозування

У разі введення більшої дози препарату Соліква®, ніж вимагалось, можуть виникнути небажані реакції у вигляді гіпоглікемії та розладів з боку шлунково-кишкового тракту.

Епізоди гіпоглікемії легкого ступеня, як правило, можуть бути усунені пероральним прийомом вуглеводів. Можуть бути потрібні корекції дозування лікарського засобу та зміни режиму харчування чи фізичної активності.

Більш тяжкі епізоди гіпоглікемії, які супроводжуються комою, судомами або неврологічними порушеннями, вимагають введення глюкагону або внутрішньовенного введення концентрованого розчину глюкози. Оскільки гіпоглікемія може виникнути повторно навіть після очевидного покращення клінічного стану пацієнта, необхідними заходами можуть бути тривалий прийом вуглеводів та спостереження за станом пацієнта.

У разі виникнення небажаних реакцій з боку шлунково-кишкового тракту потрібно розпочати підтримувальну терапію відповідно до клінічних ознак та симптомів, що відзначаються у пацієнта.

Побічні реакції

Побічними реакціями, про які найчастіше повідомлялося під час лікування препаратом Соліква®, були гіпоглікемія та розлади з боку шлунково-кишкового тракту (див. нижче розділ «Опис окремих побічних реакцій»).

Побічні реакції, пов’язані із застосуванням лікарського засобу, що спостерігалися під час клінічних досліджень, наводяться у таблиці 5 за категоріями «Система-Орган-Клас» у порядку зменшення частоти виникнення (дуже часто: ≥ l/10; часто: від ≥ 1/100 до < 1/10; нечасто: від ≥ 1/1000 до < 1/100; рідко: від ≥ 1/10 000 до < 1/1000; дуже рідко: < 1/10 000; частота невідома: неможливо оцінити за наявними даними). У межах кожної групи за частотою побічні реакції наведено в порядку зменшення ступеня їхньої серйозності.

                                                                                                                                    Таблиця 5

Категорії «Система-Орган-Клас»

Частота

Дуже часто

Часто

Нечасто

Рідко

Частота невідома

Інфекційні та паразитарні захворювання

Назофарингіт

Інфекція верхніх дихальних шляхів

Розлади з боку імунної системи

Кропив’янка

Метаболічні та аліментарні розлади

Гіпоглікемія

Розлади з боку нервової системи

Запаморочення

Головний біль

Дисгевзія

Розлади з боку шлунково-кишкового тракту

Нудота

Діарея

Блювання

Диспепсія

Біль в животі

Сповільнення спорожнення шлунка

Гепатобіліарні порушення

Жовчні конкременти

Холецистит

Розлади з боку шкіри та підшкірних тканин

Шкірний амілоїдоз

Ліподистрофія

Загальні розлади та реакції в місці введення препарату

Реакції в місці ін’єкції

Підвищена втомлюваність

Опис окремих побічних реакцій

Гіпоглікемія. В таблиці 6 наведено дані про частоту задокументованої симптоматичної гіпоглікемії (≤ 3,9 ммоль/л) та тяжкої гіпоглікемії при застосуванні лікарського засобу Соліква® та препарату порівняння***.

Таблиця 6

Побічні реакції у вигляді задокументованої симптоматичної гіпоглікемії або тяжкої гіпоглікемії

Пацієнти, які раніше не отримували інсулін

Перехід від базального інсуліну

Перехід від агоніста рецепторів ГПП-1***

Препарат Соліква®

Інсулін гларгін

Ліксисенатид

Препарат Соліква®

Інсулін гларгін

Препарат Соліква®

Агоніст рецепторів ГПП-1***

N

469

467

233

365

365

255

256

Задокументована симптоматична гіпоглікемія*

Пацієнти, у яких виникла  побічна реакція, n (%)

120

(25,6 %)

110 (23,6 %)

15

(6,4 %)

146

(40,0 %)

155

(42,5 %)

71

(27,8 %)

6

(2,3 %)

Кількість побічних реакцій на пацієнто-рік, n

1,44

1,22

0,34

3,03

4,22

1,54

0,08

Тяжка гіпоглікемія**

Кількість побічних реакцій на пацієнто-рік, n

0

< 0,01

0

0,02

< 0,01

< 0,01

0

* Задокументована симптоматична гіпоглікемія визначалась як подія, під час якої типові симптоми гіпоглікемії супроводжувалися визначеною концентрацією глюкози в плазмі крові ≤ 3,9 ммоль/л.

** Тяжка симптоматична гіпоглікемія визначалась як явище, що вимагало допомоги іншої особи для активного введення вуглеводів, глюкагону або проведення інших реанімаційних заходів.

*** Ліраглутид, ексенатид двічі на добу або із пролонгованим вивільненням, дулаглутид або албіглутид.

Розлади з боку шлунково-кишкового тракту. Розлади з боку шлунково-кишкового тракту (нудота, блювання та діарея) були побічними реакціями, про які часто повідомлялося впродовж періоду лікування. У пацієнтів, які отримували лікарський засіб Соліква®, частота пов’язаної з лікуванням нудоти, діареї та блювання становила 8,4 %, 2,2 % та 2,2 % відповідно. Побічні реакції у вигляді розладів з боку шлунково-кишкового тракту переважно були легкого ступеня та мали транзиторний характер.

Розлади з боку імунної системи. Про алергічні реакції (кропив’янка), можливо пов’язані із застосуванням лікарського засобу, було повідомлено у 0,3 % пацієнтів. Про випадки генералізованих алергічних реакцій, включаючи анафілактичні реакції та ангіоневротичний набряк, повідомлялося під час післяреєстраційного застосування інсуліну гларгіну та ліксисенатиду.

Імуногенність. Застосування лікарського засобу Соліква® може призводити до утворення антитіл до інсуліну гларгіну і/або ліксисенатиду.

Частота випадків утворення антитіл до інсуліну гларгіну становила 21,0 % та 26,2 %. Приблизно у 93 % пацієнтів відзначалася перехресна реактивність антитіл до інсуліну гларгіну стосовно людського інсуліну. Частота утворення антитіл до ліксисенатиду становила приблизно 43 %. Ні статус антитіл до інсуліну гларгіну, ні статус антитіл до ліксисенатиду не мали клінічно значущого впливу на безпеку чи ефективність застосування препарату.

Розлади з боку шкіри та підшкірних тканин. Ліподистрофія й шкірний амілоїдоз можуть виникати в місці ін’єкції інсулінів і призводити до затримки абсорбції інсуліну. Постійне змінювання місця ін’єкції в межах однієї ділянки тіла може допомогти зменшити ці реакції або запобігти їм (див. розділ «Особливості застосування»).

Реакції в місці ін’єкції. У деяких пацієнтів (1,7 %), що отримували терапію, яка включала введення інсуліну, в тому числі лікарського засобу Соліква®, відзначались почервоніння, місцеве набрякання та свербіння в місці ін’єкції.

Частота серцевих скорочень. При застосуванні агоністів рецепторів ГПП-1 повідомлялося про збільшення частоти серцевих скорочень; транзиторне збільшення частоти серцевих скорочень спостерігалося також і в рамках деяких досліджень застосування ліксисенатиду. За результатами всіх досліджень 3 фази застосування лікарського засобу Соліква® не призводило до збільшення середньої частоти серцевих скорочень.

Повідомлення про підозрювані побічні реакції

Повідомлення про побічні реакції після реєстрації лікарського засобу має важливе значення. Це дає змогу проводити моніторинг співвідношення користь/ризик при застосуванні цього лікарського засобу. Медичним та фармацевтичним працівникам, а також пацієнтам або їхнім законним представникам слід повідомляти про усі випадки підозрюваних побічних реакцій та відсутності ефективності лікарського засобу через автоматизовану інформаційну систему з фармаконагляду за посиланням: https://aisf.dec.gov.ua.

Термін придатності. 36 місяців.

Термін придатності після першого використання шприц-ручки – 28 днів.

Зберігати при температурі нижче 25 °С. Не заморожувати. Не охолоджувати. Не зберігати з прикріпленою голкою. Зберігати шприц-ручку у місці, захищеному від джерел прямого тепла та світла. Після кожної ін’єкції на шприц-ручку слід знову надягати ковпачок з метою захисту від світла.

Умови зберігання

Зберігати в недоступному для дітей місці.

Шприц-ручки, що не перебувають у використанні

Зберігати у холодильнику (при температурі від +2 °С до +8 °С).

Не заморожувати та не допускати контакту з морозильним відділенням або накопичувачами холоду.

Зберігати шприц-ручку у зовнішній картонній упаковці з метою захисту від світла.

Шприц-ручки після першого використання

Умови зберігання дивіться у розділі «Термін придатності».

Несумісність

Цей лікарський засіб не можна змішувати з будь-яким іншим лікарським засобом.

Упаковка

№3 або №5: по 3 мл у картриджі, вмонтованому в одноразову шприц-ручку; по 3 або по 5 шприц-ручок в картонній коробці. Голки в упаковку не включені.

Категорія відпуску. За рецептом.

Виробник. Санофі-Авентіс Дойчланд ГмбХ.

Місцезнаходження виробника та адреса місця провадження його діяльності

Брюнінгштрассе 50, Індустріпарк Хьохст, 65926 Франкфурт-на-Майні, Німеччина.

Заявник. ТОВ «Санофі-Авентіс Україна».

Місцезнаходження заявника. 01033, м. Київ, вул. Жилянська, 48-50А, Україна.