КІСКАЛІ
- 
        Швейцарія Новартіс Фарма АГDosage form: таблетки, вкриті плівковою оболонкою, по 200 мг, по 21 таблетці у блістері, по 3 блістери у картонній коробці; по 21 таблетці у блістері, по 3 блістери у картонній коробці, по 3 коробки у картонній коробціComposition: 1 таблетка містить рибоциклібу сукцинат, що еквівалентно рибоциклібу 200 мгMedicinal dispensing terms: за рецептомСertificate number: UA/18205/01/01ATS code: L01EF02Expiry: 3 роки
- 
        Швейцарія Новартіс Фарма АГDosage form: таблетки, вкриті плівковою оболонкою, по 200 мг, по 21 таблетці у блістері, по 3 блістери у картонній коробці; по 21 таблетці у блістері, по 3 блістери у картонній коробці, по 3 коробки у картонній коробціComposition: 1 таблетка містить: рибоциклібу сукцинату, що еквівалентно рибоциклібу 200 мгMedicinal dispensing terms: за рецептомСertificate number: UA/18157/01/01ATS code: L01XE42Expiry: 3 роки
- 
        Швейцарія Новартіс Фарма АГDosage form: таблетки, вкриті плівковою оболонкою, по 200 мг, по 21 таблетці у блістері, по 3 блістери у картонній коробці; по 21 таблетці у блістері, по 3 блістери у картонній коробці, по 3 коробки у картонній коробціComposition: 1 таблетка містить рибоциклібу сукцинат, що еквівалентно рибоциклібу 200 мгMedicinal dispensing terms: за рецептомСertificate number: UA/18205/01/01ATS code: L01EF02Expiry: 1 рік
- 
        Швейцарія Новартіс Фарма АГDosage form: таблетки, вкриті плівковою оболонкою, по 200 мг, по 21 таблетці у блістері, по 3 блістери у картонній коробці; по 21 таблетці у блістері, по 3 блістери у картонній коробці, по 3 коробки у картонній коробціComposition: 1 таблетка містить рибоциклібу сукцинату у кількості, що еквівалентна рибоциклібу 200 мг;Medicinal dispensing terms: за рецептомСertificate number: UA/18205/01/01ATS code: L01EF02Expiry: 1 рік
ІНСТРУКЦІЯ
для медичного застосування лікарського засобу
КІСКАЛІ
(KISQALI)
Склад:
діюча речовина: ribociclib;
1 таблетка містить рибоциклібу сукцинат, що еквівалентно рибоциклібу 200 мг;
допоміжні речовини: целюлоза мікрокристалічна, кросповідон (тип А), гідроксипропілцелюлоза низькозаміщена, магнію стеарат, кремнію діоксид колоїдний безводний, заліза оксид чорний (Е 172), заліза оксид червоний (Е 172), лецитин соєвий, спирт полівініловий частково гідролізований, тальк, титану діоксид (Е 171), ксантанова камедь.
Лікарська форма. Таблетки, вкриті плівковою оболонкою.
Основні фізико-хімічні властивості:
круглі вигнуті таблетки зі скошеними краями, світлого сірувато-фіолетового кольору, без риски, з тисненням «RIC» з одного боку та «NVR» – з іншого.
Фармакотерапевтична група. Антинеопластичні засоби. Інгібітори протеїнкінази. Інгібітори циклінзалежної кінази (CDK). Рибоцикліб.
Код АТХ L01E F02.
Фармакологічні властивості.
Фармакодинаміка.
Механізм дії.
Рибоцикліб є селективним інгібітором циклінзалежних кіназ (CDK) 4 та 6 і призводить до їх 50 % інгібіції (IC50) у біохімічних аналізах при концентраціях 0,01 (4,3 нг/мл) і 0,039 мкМ (16,9 нг/мл) відповідно. Ці кінази активуються при зв’язуванні з D-циклінами і відіграють вирішальну роль у сигнальних шляхах, які регулюють клітинний цикл і проліферацію клітин. Комплекс циклін D-CDK4/6 регулює прогресування клітинного циклу шляхом фосфорилювання білка ретинобластоми (pRb).
In vitro рибоцикліб зменшував фосфорилювання pRb, призводячи до зупинки фази G1 клітинного циклу та зменшуючи проліферацію клітин у клітинних лініях раку молочної залози. Іn vivo монотерапія рибоциклібом призводила до регресії пухлини, що відповідало інгібіції фосфорилювання pRb.
У дослідженнях in vivo на моделі отриманого від пацієнта ксенотрансплантата раку молочної залози, позитивного за рецепторами естрогену (ER+), застосування комбінацій рибоциклібу та антиестрогенів (наприклад летрозолу) призводило до більш вираженого пригнічення росту пухлини зі стійкою регресією пухлини та відстроченим відновленням росту пухлини після припинення лікування порівняно із застосуванням кожного препарату окремо. Крім того, в умовах in vivo оцінювали протипухлинну активність рибоциклібу у комбінації з фулвестрантом у мишей з імунодефіцитом, які несуть ксенотрансплантати ER+ раку молочної залози людини ZR751; застосування такої комбінації призводило до повного пригнічення росту пухлини.
Аналіз панелі клітинних ліній раку молочної залози з відомим ER-статусом продемонстрував більш високу ефективність рибоциклібу у клітинних лініях раку молочної залози зі статусом ER+, ніж у таких зі статусом ER-. У досліджених доклінічних моделях для активності рибоциклібу був необхідний інтактний pRb.
Електрофізіологія серця.
Для оцінки впливу рибоциклібу на інтервал QTc у пацієнтів з поширеним раком були виконані серії ЕКГ, проведені тричі після застосування одноразової дози при досягненні рівноважного стану. В аналіз фармакокінетики і фармакодинаміки були включені дані загалом 997 пацієнтів, які отримували лікування рибоциклібом в діапазоні доз від 50 до 1200 мг. Аналіз показав, що рибоцикліб спричиняє залежне від концентрації збільшення інтервалу QTc. Розрахована середня зміна QTcF від вихідного рівня при застосуванні препарату Кіскалі у дозі 600 мг в комбінації з нестероїдним інгібітором ароматази (НСІА) або фулвестрантом становила 22,0 мс (90 % ДІ: 20,56; 23,44) і 23,7 мс (90 % ДІ: 22,31; 25,08) відповідно при геометричній середній Cmax в рівноважному стані порівняно з 34,7 мс (90 % ДІ: 31,64; 37,78) при застосуванні в комбінації з тамоксифеном (див. розділ «Особливості застосування»).
Клінічна ефективність і безпека.
Дослідження CLEE011A2301 (MONALEESA-2).
Препарат Кіскалі оцінювали у рандомізованому подвійно сліпому плацебо-контрольованому, багатоцентровому клінічному дослідженні ІІІ фази лікування жінок у постменопаузі з позитивним за рецептором гормону, HER2 (рецептор епідермального фактора росту людини 2 типу)-негативним поширеним раком молочної залози, які раніше не отримували терапії з приводу поширеного захворювання, у комбінації з летрозолом порівняно з летрозолом окремо.
Загалом 668 пацієнтів було рандомізовано у співвідношенні 1:1 для отримання препарату Кіскалі у дозі 600 мг і летрозолу (n = 334) або плацебо і летрозолу (n = 334) та стратифіковані відповідно до наявності метастазів у печінці та/або легенях (так [n = 292 (44 %)] або ні [n = 376 (56 %)]). Демографічні та вихідні характеристики захворювання були збалансованими та порівнянними у групах дослідження. Препарат Кіскалі застосовували перорально в дозі 600 мг на добу протягом 21 послідовного дня з подальшою 7-денною перервою у лікуванні в комбінації з летрозолом у дозі 2,5 мг 1 раз на добу протягом 28 днів. Пацієнтам не дозволялося переходити з плацебо на препарат Кіскалі під час дослідження або після прогресування захворювання.
Середній вік пацієнтів, включених до цього дослідження, становив 62 роки (діапазон від 23 до 91). 44,2 % пацієнтів були віком від 65 років, у тому числі 69 пацієнтів — віком понад 75 років. Серед пацієнтів були представники європеоїдної (82,2 %), монголоїдної (7,6 %) і негроїдної (2,5 %) раси. Усі пацієнти мали функціональний статус за шкалою ECOG 0 або 1. У групі лікування препаратом Кіскалі 46,6 % пацієнтів отримували хіміотерапію в неоад’ювантному або ад’ювантному режимі, а 51,3 % отримували антигормональну терапію в неоад’ювантному або ад’ювантному режимі до включення у дослідження. 34,1 % пацієнтів були de novo (мали вперше діагностований рак). У 20,0 % пацієнтів спостерігалося метастазування раку тільки у кістки, а у 58,8 % – метастазування раку у вісцеральні органи. Пацієнти, які раніше отримували (нео)ад’ювантну терапію анастрозолом або летрозолом, повинні були завершити цю терапію щонайменше за 12 місяців до рандомізації у дослідження.
Первинний аналіз.
Первинна кінцева точка у дослідженні була досягнута при запланованому проміжному аналізі, проведеному після спостереження 80 % запланованих випадків виживаності без прогресування захворювання (ВБП) з використанням критеріїв оцінки відповіді при солідних пухлинах (RECIST, версія 1.1) на основі оцінки дослідника у всій популяції (усі рандомізовані пацієнти), і підтверджена незалежною центральною радіологічною оцінкою замаскованих даних.
Результати оцінки ефективності продемонстрували статистично значуще покращення ВБП у пацієнтів, які отримували препарат Кіскалі та летрозол, порівняно з пацієнтами, які отримували плацебо та летрозол, при аналізі всієї популяції (співвідношення ризиків 0,556; 95 % ДI: 0,429; 0,720; р-значення за одностороннім стратифікованим лог-ранговим критерієм = 0,00000329) з клінічно значущим ефектом лікування.
Глобальні дані щодо стану здоров’я/якості життя не продемонстрували жодної різниці між групою застосування препарату Кіскалі та летрозолу і групою застосування плацебо та летрозолу.
Більш пізнє оновлення даних з ефективності (дата завершення збору даних 2 січня 2017 року) наведено у таблицях 1 і 2.
Медіана ВБП становила 25,3 місяця (95 % ДІ: 23,0; 30,3) для пацієнтів, які отримували рибоцикліб і летрозол, та 16,0 місяця (95 % ДІ: 13,4; 18,2) для пацієнтів, які отримували плацебо і летрозол. У 54,7 % пацієнтів, які отримували рибоцикліб і летрозол, не спостерігалося прогресування захворювання через 24 місяці порівняно з 35,9 % у групі застосування плацебо і летрозолу.
Таблиця 1
MONALEESA-2: результати оцінки ефективності (ВБП) на основі радіологічної оцінки дослідника (дата завершення збору даних 2 січня 2017 року)
| Оновлений аналіз | ||
| Показники | Кіскалі та летрозол N = 334 | Плацебо і летрозол N = 334 | 
| Виживаність без прогресування | ||
| Медіана ВБП [місяці] (95 % ДІ) | 25,3 (23,0–30,3) | 16,0 (13,4–18,2) | 
| Співвідношення ризиків (95 % ДІ) | 0,568 (0,457–0,704) | |
| р-значенняа | 9,63 × 10-8 | |
| ДІ – довірчий інтервал; N – кількість пацієнтів ар-значення отримано за одностороннім стратифікованим лог-ранговим критерієм. | ||
MONALEESA-2: графік Каплана – Мейєра для ВБП на основі оцінки дослідника (дата завершення збору даних 2 січня 2017 року)
|  | 
| 
 | 
| 
 | 
Час (місяці)
| Кількість пацієнтів, які все ще мають ризик | ||||||||||||||||||
| Час | 0 | 2 | 4 | 6 | 8 | 10 | 12 | 14 | 16 | 18 | 20 | 22 | 24 | 26 | 28 | 30 | 32 | 34 | 
| Рибоцикліб | 334 | 294 | 277 | 257 | 240 | 227 | 207 | 196 | 188 | 176 | 164 | 132 | 97 | 46 | 17 | 11 | 1 | 0 | 
| Плацебо | 334 | 279 | 265 | 239 | 219 | 196 | 179 | 156 | 138 | 124 | 110 | 93 | 63 | 34 | 10 | 7 | 2 | 0 | 
Рис. 1.
Було проведено серії аналізів ВБП у попередньо визначених підгрупах на підставі прогностичних факторів і вихідних характеристик для дослідження внутрішньої стабільності ефекту лікування. Зниження ризику прогресування захворювання або смерті на користь групи застосування препарату Кіскалі та летрозолу спостерігалося в усіх окремих підгрупах пацієнтів за віком, расовою приналежністю, попередньою ад’ювантною або неоад’ювантною хіміотерапією або гормональною терапією, ураженням печінки та/або легень і метастазуванням тільки у кістки. Ефект був очевидним у пацієнтів з метастазами у печінці та/або легенях (СР 0,561 [95 % ДI: 0,424; 0,743], медіана виживаності без прогресування [мВБП] становила 24,8 місяця при застосуванні комбінації препарату Кіскалі та летрозолу порівняно з 13,4 місяця при застосуванні летрозолу окремо) або без метастазів у печінці та/або легенях (СР 0,597 [95 % ДI: 0,426; 0,837], мВБП 27,6 місяця порівняно з 18,2 місяця).
Оновлені результати щодо загальної відповіді та частоти клінічної ефективності відображено у таблиці 2.
Таблиця 2
MONALEESA-2: результати оцінки ефективності (ЧЗВа, ЧКЕб) на основі оцінки дослідника (дата завершення збору даних 2 січня 2017 року)
| Аналіз | Кіскалі та летрозол (%, 95 % ДІ) | Плацебо та летрозол (%, 95 % ДІ) | р-значенняв | 
| Вся популяція для аналізу | N = 334 | N = 334 | |
| Частота загальної відповідіа | 42,5 (37,2; 47,8) | 28,7 (23,9; 33,6) | 9,18 × 10-5 | 
| Частота клінічної ефективностіб | 79,9 (75,6; 84,2) | 73,1 (68,3; 77,8) | 0,018 | 
| Пацієнти з вимірюваним захворюванням | n = 257 | n = 257 | |
| Частота загальної відповідіа | 54,5 (48,4; 60,6) | 38,8 (32,7, 44.9) | 2,54 × 10-4 | 
| Частота клінічної ефективностіб | 80,2 (75,3; 85,0) | 71,8 (66,2; 77,5) | 0,018 | 
| а ЧЗВ: частота загальної відповіді = частка пацієнтів з повною відповіддю + частковою відповіддю. б ЧКЕ: частота клінічної ефективності = частка пацієнтів з повною відповіддю + частковою відповіддю (+ стабільне захворювання або неповна відповідь/відсутність прогресування захворювання протягом ≥ 24 тижнів). в р-значення отримано за одностороннім критерієм хі-квадрат Кокрана – Мантеля – Генсзеля. | |||
Підсумковий аналіз ЗВ.
Результати підсумкового аналізу загальної відповіді (ЗВ) у загальній досліджуваній популяції наведені в таблиці 3 і на рисунку 2.
Таблиця 3
MONALEESA-2: результати оцінки ефективності (ЗВ) (дата завершення збору даних — 10 червня 2021 року)
| Загальна виживаність, загальна досліджувана популяція | Кіскалі та летрозол N = 334 | Плацебо та летрозол N = 334 | 
| Кількість випадків — n [%] | 181 (54,2) | 219 (65,6) | 
| Медіана ЗВ [місяці] (95% ДІ) | 63,9 (52,4, 71,0) | 51,4 (47,2, 59,7) | 
| Співвідношення ризиківa (95 % ДІ) | 0,765 (0,628, 0,932) | |
| р-значенняb | 0,004 | |
| ЗВ без ускладнень, (%) (95 % ДІ) | ||
| 24 місяці | 86,6 (82,3, 89,9) | 85,0 (80,5, 88,4) | 
| 60 місяців | 52,3 (46,5, 57,7) | 43,9 (38,3, 49,4) | 
| 72 місяці | 44,2 (38,5, 49,8) | 32,0 (26,8, 37,3) | 
| ДІ — довірчий інтервал. a Співвідношення ризиків отримано за стратифікованою моделлю РН Кокса. b р-значення отримано за одностороннім стратифікованим лог-ранговим критерієм (p < 0,0219 для твердження про більшу ефективність). Стратифікацію проведено за статусом метастазів у легенях та/або печінці за інтерактивною технологією відповіді (IRT). | ||
MONALEESA‑2: графік Каплана — Мейєра для ЗВ у загальній популяції (дата завершення збору даних 10 червня 2021 року)
|  | |||||
|  | |||||
|  | |||||

 
|  | 
Лог-ранговий критерій та модель РН Кокса стратифіковано за статусом метастазів у легенях та/або печінці за даними IRT.
Одностороннє Р-значення отримано за стратифікованим лог-ранговим критерієм.
Рис. 2
Дослідження CLEE011E2301 (MONALEESA-7).
Препарат Кіскалі оцінювали у рандомізованому подвійно сліпому плацебо-контрольованому, багатоцентровому клінічному дослідженні ІІІ фази лікування жінок у пре- і перименопаузальному періоді з позитивним за рецептором гормону, HER2-негативним поширеним раком молочної залози у комбінації з НСІА або тамоксифеном і гозереліном порівняно з плацебо у комбінації з НСІА або тамоксифеном і гозереліном. Пацієнти у дослідженні MONALEESA-7 не отримували попереднього ендокринного лікування з приводу поширеного раку молочної залози.
Загалом 672 пацієнти були рандомізовані у співвідношенні 1:1 для отримання препарату Кіскалі у дозі 600 мг і НСІА/тамоксифену та гозереліну (n = 335) або плацебо і НСІА/тамоксифену та гозереліну (n = 337) та стратифіковані відповідно до наявності метастазів у печінці та/або легенях (так [n = 344 (51,2 %)] або ні [n = 328 (48,8 %)]), попередньої хіміотерапії з приводу поширеного захворювання (так [n = 120 (17,9 %)] або ні [n = 552 (82,1 %)]) та додаткового препарату у складі комбінованої ендокринної терапії (НСІА і гозерелін [n = 493 (73,4 %)] або тамоксифен і гозерелін [n = 179 (26,6 %)]). Демографічні та вихідні характеристики захворювання були збалансованими та порівнянними у групах дослідження. Препарат Кіскалі застосовували перорально в дозі 600 мг на добу протягом 21 послідовного дня з подальшою 7-денною перервою у лікуванні в комбінації з НСІА (летрозол у дозі 2,5 мг або анастрозол у дозі 1 мг) або тамоксифеном (20 мг) перорально 1 раз на добу протягом 28 днів і гозереліном (3,6 мг) підшкірно кожні 28 днів до прогресування захворювання або розвитку неприйнятної токсичності. Пацієнтам не дозволялося переходити з плацебо на препарат Кіскалі під час дослідження або після прогресування захворювання. Зміна додаткового препарату у складі комбінованої ендокринної терапії також не дозволялася.
Середній вік пацієнтів, включених до цього дослідження, становив 44 роки (діапазон від 25 до 58), а 27,7 % пацієнтів були віком до 40 років. Більшість пацієнтів були представниками європеоїдної раси (57,7 %), монголоїдної (29,5 %) або негроїдної (2,8 %) раси, майже всі пацієнти (99,0 %) мали вихідний функціональний статус за шкалою ECOG 0 або 1. До включення у дослідження із цих 672 пацієнтів 14 % отримували хіміотерапію з приводу метастатичного захворювання, 32,6 % отримували хіміотерапію в ад’ювантному та 18,0 % в неоад’ювантному режимі; 39,6 % отримували ендокринну терапію в ад’ювантному режимі та 0,7 % – в неоад’ювантному режимі. У дослідженні E2301 40,2 % пацієнтів мали метастатичне захворювання de novo (вперше діагностоване), у 23,7 % пацієнтів спостерігалося метастазування тільки у кістки, а у 56,7 % – метастазування у вісцеральні органи.
Первинна кінцева точка у дослідженні була досягнута при первинному аналізі, проведеному після спостереження 318 випадків виживаності без прогресування захворювання (ВБП) на основі оцінки дослідника з використанням критеріїв RECIST, версія 1.1, у всій популяції (усі рандомізовані пацієнти). Первинні результати оцінки ефективності були підтверджені результатами ВБП на основі незалежної центральної радіологічної оцінки замаскованих даних. Середній час подальшого спостереження на момент первинного аналізу ВБП становив 19,2 місяця.
У загальній популяції дослідження результати оцінки ефективності продемонстрували статистично значуще покращення ВБП у пацієнтів, які отримували препарат Кіскалі та НСІА/тамоксифен і гозерелін, порівняно з пацієнтами, які отримували плацебо та НСІА/тамоксифен і гозерелін (співвідношення ризиків 0,553; 95 % ДI: 0,441; 0,694; р-значення за одностороннім стратифікованим лог-ранговим критерієм 9,83 × 10-8) з клінічно значущим ефектом лікування.
Медіана ВБП становила 23,8 місяця (95 % ДІ: 19,2; не оцінюваний (НО)) для пацієнтів, які отримували препарат Кіскалі та НСІА/тамоксифен і гозерелін, та 13,0 місяця (95 % ДІ: 11,0; 16,4) для пацієнтів, які отримували плацебо та НСІА/тамоксифен і гозерелін.
Розподіл ВБП узагальнено на кривій Каплана — Мейєра для ВБП на рисунку 3.
MONALEESA-7: графік Каплана — Мейєра для ВБП у загальній популяції на основі оцінки дослідника
| 
 | 
| 
 | 
Час (місяці)
| Кількість пацієнтів, які все ще мають ризик | ||||||||||||||||
| Час (місяці) | 0 | 2 | 4 | 6 | 8 | 10 | 12 | 14 | 16 | 18 | 20 | 22 | 24 | 26 | 28 | 30 | 
| Рибоцикліб | 335 | 301 | 284 | 264 | 245 | 235 | 219 | 178 | 136 | 90 | 54 | 40 | 20 | 3 | 1 | 0 | 
| Плацебо | 337 | 273 | 248 | 230 | 207 | 183 | 165 | 124 | 94 | 62 | 31 | 24 | 13 | 3 | 1 | 0 | 
Рис. 3.
Результати ВБП на основі незалежної центральної радіологічної оцінки замаскованих даних випадково вибраної підгрупи з приблизно 40 % рандомізованих пацієнтів підтвердили первинні результати щодо ефективності на основі оцінки дослідника (співвідношення ризиків 0,427; 95 % ДІ: 0,288; 0,633).
На час первинного аналізу ВБП дані щодо загальної виживаності були неповними, відзначалося 89 (13 %) випадків смерті (СР 0,916 [95 % ДІ: 0,601; 1,396]).
Частота загальної відповіді (ЧЗВ) за оцінкою дослідника на основі критеріїв RECIST версії 1.1 була вищою у групі лікування препаратом Кіскалі (40,9 %; 95 % ДІ: 35,6; 46,2) порівняно із групою застосування плацебо (29,7 %; 95 % ДІ: 24,8; 34,6; p = 0,00098). Частота клінічної ефективності (ЧКЕ) була вищою у групі лікування препаратом Кіскалі (79,1 %; 95 % ДІ: 74,8; 83,5) порівняно із групою застосування плацебо (69,7 %; 95 % ДІ: 64,8; 74,6; p = 0,002).
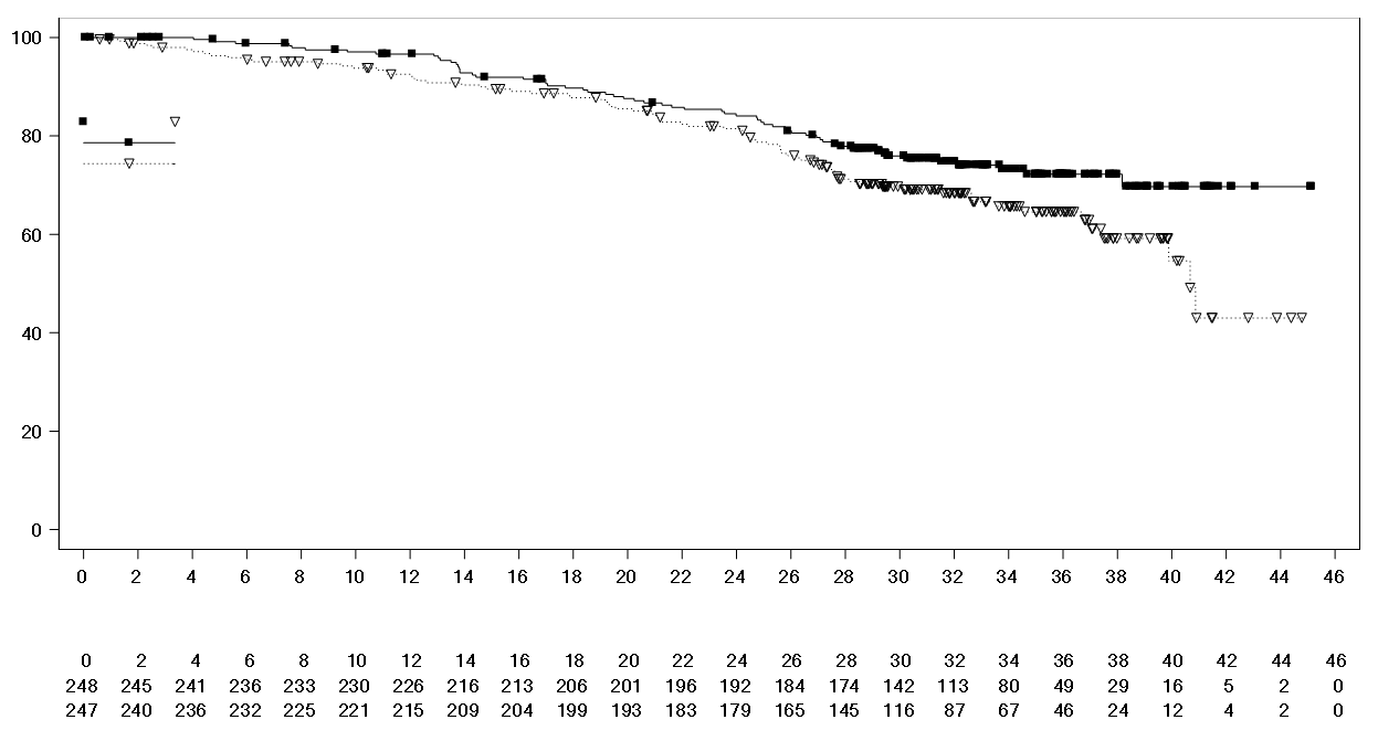
В аналізі у попередньо визначених підгрупах з 495 пацієнтів, які отримували препарат Кіскалі або плацебо у комбінації з НСІА та гозереліном, медіана ВБП становила 27,5 місяця (95 % ДІ: 19,1; НО) у підгрупі лікування препаратом Кіскалі та НСІА і 13,8 місяця (95 % ДІ: 12,6; 17,4) у підгрупі застосування плацебо і НСІА [СР: 0,569; 95 % ДІ: 0,436; 0,743]. Результати оцінки ефективності наведено в таблиці 4, а криві Каплана – Мейєра для ВБП представлені на рисунку 4.
| Таблиця 4 MONALEESA-7: результати оцінки ефективності (ВБП) у пацієнтів, які отримували НСІА | ||
| Показники | Кіскалі та НСІА і гозерелін N = 248 | Плацебо та НСІА і гозерелін N = 247 | 
| Виживаність без прогресуванняa | ||
| Медіана ВБП [місяці] (95 % ДІ) | 27,5 (19,1; НО) | 13,8 (12,6–17,4) | 
| Співвідношення ризиків (95 % ДІ) | 0,569 (0,436; 0,743) | |
| ДІ – довірчий інтервал; N – кількість пацієнтів; НО – не оцінювалася. a ВБП на основі радіологічної оцінки дослідника. | ||
 MONALEESA-7: графік
Каплана – Мейєра
для ВБП на
основі
оцінки
дослідника у
пацієнтів,
які
отримували
НСІА
MONALEESA-7: графік
Каплана – Мейєра
для ВБП на
основі
оцінки
дослідника у
пацієнтів,
які
отримували
НСІА
| 
 | 
| 
 | 
Час (місяці)
| Кількість пацієнтів, які все ще мають ризик | ||||||||||||||||
| Час (місяці) | 0 | 2 | 4 | 6 | 8 | 10 | 12 | 14 | 16 | 18 | 20 | 22 | 24 | 26 | 28 | 30 | 
| Рибоцикліб | 248 | 223 | 212 | 199 | 183 | 175 | 163 | 132 | 100 | 66 | 38 | 27 | 15 | 2 | 1 | 0 | 
| Плацебо | 247 | 195 | 177 | 163 | 149 | 138 | 126 | 95 | 72 | 48 | 25 | 19 | 9 | 2 | 1 | 0 | 
Рис. 4.
Результати оцінки ефективності щодо частоти загальної відповіді (ЧЗВ) і частоти клінічної ефективності (ЧКЕ) за оцінкою дослідника на основі критеріїв RECIST версії 1.1 наведені у таблиці 5.
| Таблиця 5 MONALEESA-7: результати оцінки ефективності (ЧЗВ, ЧКЕ) на основі оцінки дослідника у пацієнтів, які отримували НСІА | ||
| Аналіз | Кіскалі та НСІА і гозерелін (%, 95 % ДІ) | Плацебо та НСІА і гозерелін (%, 95 % ДІ) | 
| Вся популяція для аналізу | N = 248 | N = 247 | 
| Частота загальної відповіді (ЧЗВ)a | 39,1 (33,0; 45,2) | 29,1 (23,5; 34,8) | 
| Частота клінічної ефективності (ЧКЕ)б | 80,2 (75,3; 85,2) | 67,2 (61,4; 73,1) | 
| Пацієнти з вимірюваним захворюванням | n = 192 | n = 199 | 
| Частота загальної відповідіa | 50,5 (43,4; 57,6) | 36,2 (29,5; 42,9) | 
| Частота клінічної ефективностіб | 81,8 (76,3; 87,2) | 63,8 (57,1; 70,5) | 
| aЧЗВ: частка пацієнтів з повною відповіддю + частковою відповіддю. бЧКЕ: частка пацієнтів з повною відповіддю + частковою відповіддю + (стабільне захворювання або неповна відповідь/відсутність прогресування захворювання протягом ≥ 24 тижнів). | ||
Результати у підгрупі лікування препаратом Кіскалі та НСІА були узгоджені між підгрупами за віком, расовою приналежністю, попередньою ад’ювантною/неоад’ювантною хіміотерапією або гормональною терапією, ураженням печінки та/або легень і метастазуванням тільки у кістки.
Більш пізнє оновлення даних щодо загальної виживаності (дата завершення збору даних 30 листопада 2018 року) наведено у таблиці 6 та на рисунках 5 і 6.
У другому аналізі ЗВ дослідження досягло своєї ключової вторинної кінцевої точки, продемонструвавши статистично значуще покращення ЗВ.
Таблиця 6
MONALEESA-7: результати оцінки ефективності (ЗВ) (дата завершення збору даних — 30 листопада 2018 року)
| Оновлений аналіз | ||
| Загальна виживаність, загальна популяція дослідження | Кіскалі 600 мг N = 335 | Плацебо N = 337 | 
| Кількість випадків, n [%] | 83 (24,8) | 109 (32,3) | 
| Медіана ЗВ [місяців] (95 % ДІ) | НО (НО, НО) | 40,9 (37,8; НО) | 
| Співвідношення ризиків (95 % ДІ) | 0,712 (0,535; 0,948) | |
| р-значенняа | 0,00973 | |
| Загальна виживаність, підгрупа НСІА | Кіскалі 600 мг n = 248 | Плацебо n = 247 | 
| Кількість випадків, n [%] | 61 (24,6) | 80 (32,4) | 
| Медіана ЗВ [місяців] (95 % ДІ) | НО (НО, НО) | 40,7 (37,4; НО) | 
| Співвідношення ризиків (95 % ДІ) | 0,699 (0,501; 0,976) | |
| ДІ – довірчий інтервал; НО – не оцінювалася; N – кількість пацієнтів. ар-значення отримано за одностороннім лог-ранговим критерієм, стратифікованим за наявністю метастазів у легені та/або печінку, попередньою хіміотерапією з приводу поширеного захворювання і додатковим препаратом у складі комбінованої ендокринної терапії за інтерактивною технологією відповіді (IRT). | ||
MONALEESA-7: графік Каплана — Мейєра для остаточного аналізу ЗВ (дата завершення збору даних 30 листопада 2018 року)
|  | 
 
| 
 | 
| 
 | 
Час (місяці)
Кількість пацієнтів, які все ще мають ризик
 Час
(місяці)
Час
(місяці)
Рибоцикліб
Плацебо
Рис. 5.
Лог-ранговий критерій та модель Кокса стратифіковані за наявністю метастазів у легені та/або печінку, попередньою хіміотерапією з приводу поширеного захворювання і додатковим препаратом у складі комбінованої ендокринної терапії за інтерактивною технологією відповіді (IRT).
MONALEESA-7: графік Каплана — Мейєра для остаточного аналізу ЗВ у пацієнтів, які отримували НСІА (дата завершення збору даних 30 листопада 2018 року)
| 
 | 
| 
 | 
Час (місяці)
Кількість пацієнтів, які все ще мають ризик
Час (місяці)
Рибоцикліб
Плацебо
Рис. 6.
Співвідношення ризиків ґрунтується на нестратифікованій моделі Кокса.
Крім того, ймовірність прогресування при терапії наступної лінії чи смерті (ВБП2) у пацієнтів, які попередньо отримували рибоцикліб у дослідженні, була нижчою порівняно з пацієнтами у групі плацебо з рівнем СР 0,692 (95 % ДІ: 0,548; 0,875) у загальній популяції дослідження. Медіана ВБП2 становила 32,3 місяця (95 % ДІ: 27,6; 38,3) у групі плацебо і не була досягнута (95 % ДІ: 39,4; НО) у групі рибоциклібу. Подібні результати спостерігалися у підгрупі НСІА, при цьому СР становило 0,660 (95 % ДІ: 0,503; 0,868), а медіана ВБП2 становила 32,3 місяця (95 % ДІ: 26,9; 38,3) у групі плацебо порівняно з не досягнутою (95 % ДІ: 39.4; НО) у групі рибоциклібу.
Дослідження CLEE011F2301 (MONALEESA-3).
Препарат Кіскалі оцінювали у рандомізованому 2:1 подвійно сліпому плацебо-контрольованому, багатоцентровому клінічному дослідженні ІІІ фази за участю 726 жінок у постменопаузальному періоді з позитивним за рецептором гормону, HER2-негативним поширеним раком молочної залози, які раніше не отримували або отримали лише один курс попереднього ендокринного лікування у комбінації з фулвестрантом порівняно з фулвестрантом окремо.
Середній вік пацієнтів, включених до цього дослідження, становив 63 роки (діапазон від 31 до 89). 46,7 % пацієнтів були віком від 65 років, у тому числі 13,8 % пацієнтів віком від 75 років. Пацієнти, включені у дослідження, були представниками європеоїдної (85,3 %), монголоїдної (8,7 %) і негроїдної (0,7 %) раси, і майже всі пацієнти (99,7 %) мали вихідний функціональний статус за шкалою ECOG 0 або 1. У це дослідження були включені пацієнти першої та другої лінії (з яких 19,1 % мали метастатичне захворювання de novo). До включення у дослідження 42,7 % пацієнтів отримували хіміотерапію в ад’ювантному режимі та 13,1 % – в неоад’ювантному режимі, тоді як 58,5 % пацієнтів отримували ендокринну терапію в ад’ювантному та 1,4 % – в неоад’ювантному режимі та 21 % отримували попередню ендокринну терапію з приводу поширеного раку молочної залози. У дослідженні F2301 21,2 % пацієнтів мали метастазування тільки у кістки, а 60,5 % пацієнтів мали метастазування у вісцеральні органи.
Первинний аналіз.
Первинна кінцева точка у дослідженні була досягнута при первинному аналізі, проведеному після оцінки 361 випадку виживаності без прогресування (ВБП) на основі оцінки дослідника з використанням критеріїв RECIST, версія 1.1, у всій популяції (усі рандомізовані пацієнти, дата завершення збору даних — 03.11.2017). Середній час подальшого спостереження на момент первинного аналізу ВБП становив 20,4 місяця.
Результати оцінки первинної ефективності продемонстрували статистично значуще покращення ВБП у пацієнтів, які отримували препарат Кіскалі та фулвестрант, порівняно з пацієнтами, які отримували плацебо та фулвестрант, у всій популяції (співвідношення ризиків 0,593; 95 % ДI: 0,480; 0,732; р-значення за одностороннім стратифікованим лог-ранговим критерієм 4,1 × 10–7) з оціненим зниженням відносного ризику прогресування або смерті на 41 % на користь групи лікування препаратом Кіскалі та фулвестрантом.
Результати ВБП на основі незалежної центральної радіологічної оцінки замаскованих даних випадково вибраної підгрупи з приблизно 40 % рандомізованих пацієнтів підтвердили первинні результати щодо ефективності на основі оцінки дослідника (співвідношення ризиків 0,492; 95 % ДІ: 0,345; 0,703).
Описове оновлення ВБП було здійснене на момент другого проміжного аналізу ЗВ; оновлені результати ВБП для загальної популяції та підгруп на основі попередньої ендокринної терапії узагальнено у таблиці 7, а крива Каплана — Мейєра наведена на рисунку 7.
| Таблиця 7 MONALEESA-3 (F2301): оновлені результати (ВБП) на основі оцінки дослідником (дата завершення збору даних — 03.06.2019) | ||
| Показники | Кіскалі та фулвестрант N = 484 | Плацебо та фулвестрант N = 242 | 
| Виживаність без прогресування, загальна популяція дослідження | ||
| Кількість випадків — n [%] | 283 (58,5) | 193 (79,8) | 
| Медіана ВБП [місяці] (95 % ДІ) | 20,6 (18,6; 24,0) | 12,8 (10,9; 16,3) | 
| Співвідношення ризиків (95 % ДІ) | 0,587 (0,488; 0,705) | |
| Підгрупа режиму першої лінії лікуванняa | Кіскалі та фулвестрант n = 237 | Плацебо та фулвестрант n = 128 | 
| Кількість випадків — n [%] | 112 (47,3) | 95 (74,2) | 
| Медіана ВБП [місяців] (95 % ДІ) | 33,6 (27,1; 41,3) | 19,2 (14,9; 23,6) | 
| Співвідношення ризиків (95 % ДІ) | 0,546 (0,415–0,718) | |
| Підгрупа режиму другої лінії лікування або раннього рецидивуб | Кіскалі та фулвестрант n = 237 | Плацебо та фулвестрант n = 109 | 
| Кількість випадків — n [%] | 167 (70,5) | 95 (87,2) | 
| Медіана ВБП [місяців] (95 % ДІ) | 14,6 (12,5; 18,6) | 9,1 (5,8; 11,0) | 
| Співвідношення ризиків (95 % ДІ) | 0,571 (0,443; 0,737) | |
| ДІ — довірчий інтервал. a Пацієнти з поширеним раком молочної залози de novo без попередньої ендокринної терапії та пацієнти з рецидивом після закінчення 12-місячної (нео)ад’ювантної ендокринної терапії. б Пацієнти з рецидивом під час ад’ювантної терапії або протягом 12 місяців після завершення (нео)ад’ювантної ендокринної терапії та пацієнти з прогресуванням після однієї лінії ендокринної терапії поширеного захворювання. | ||
MONALEESA-3 (F2301): графік Каплана — Мейєра для ВБП на основі оцінки дослідника (НДПА) (дата завершення збору даних — 03.06.2019)
|   | ||||||||||||||||||||||||||||||||||||||||||||||||||
|  | ||||||||||||||||||||||||||||||||||||||||||||||||||
|  |  |  |  |  |  |  |  |  |  |  |  |  |  |  |  |  |  |  |  |  |  |  |  | |||||||||||||||||||||||||||
| 
 | 
|  |  |  |  |  |  |  |  |  |  |  |  |  |  |  |  |  | |||||||||||||||||
Рис. 7.
Результати оцінки ефективності щодо частоти загальної відповіді (ЧЗВ) і частоти клінічної ефективності (ЧКЕ) за оцінкою дослідника на основі критеріїв RECIST версії 1.1 наведено у таблиці 8.
| Таблиця 8 MONALEESA-3: результати оцінки ефективності (ЧЗВ, ЧКЕ) на основі оцінки дослідника (дата завершення збору даних — 03.11.2017) | ||
| Аналіз | Кіскалі та фулвестрант (%, 95 % ДІ) | Плацебо та фулвестрант (%, 95 % ДІ) | 
| Вся популяція для аналізу | N = 484 | N = 242 | 
| Частота загальної відповіді (ЧЗВ)a | 32,4 (28,3; 36,6) | 21,5 (16,3; 26,7) | 
| Частота клінічної ефективності (ЧКЕ)б | 70,2 (66,2; 74,3) | 62,8 (56,7; 68,9) | 
| Пацієнти з вимірюваним захворюванням | n = 379 | n = 181 | 
| Частота загальної відповідіa | 40,9 (35,9; 45,8) | 28,7 (22,1; 35,3) | 
| Частота клінічної ефективностіб | 69,4 (64,8; 74,0) | 59,7 (52,5; 66,8) | 
| a ЧЗВ: частка пацієнтів з повною відповіддю + частковою відповіддю. b ЧКЕ: частка пацієнтів з повною відповіддю + частковою відповіддю + (стабільне захворювання або неповна відповідь/відсутність прогресування захворювання протягом ≥ 24 тижнів). | ||
Співвідношення ризиків на основі аналізу попередньо визначених підгруп пацієнтів, які отримували лікування препаратом Кіскалі та фулвестрантом, продемонструвало стабільну ефективність у різних підгрупах, у тому числі за віком, расовою приналежністю, попереднім лікуванням (на ранній стадії або при поширеному раку), попередньою ад’ювантною/неоад’ювантною хіміотерапією або гормональною терапією, ураженням печінки та/або легень і метастазуванням тільки у кістки.
Аналіз ЗВ.
У другому аналізі ЗВ вторинна кінцева точка дослідження була виконана, виявляючи статистично значуще покращення ЗВ.
Результати кінцевого аналізу ЗВ у загальній популяції дослідження та аналізу підгруп наведені у таблиці 9 та на рисунку 8.
| Таблиця 8 MONALEESA-3 (F2301): результати ефективності (ЗВ) (дата завершення збору даних — 03.06.2019) | ||
| Показники | Кіскалі та фулвестрант | Плацебо та фулвестрант | 
| Загальна популяція дослідження | N = 484 | N = 242 | 
| Кількість випадків — n [%] | 167 (34,5) | 108 (44,6) | 
| Медіана ЗВ [місяців] (95 % ДІ) | НО, (НО, НО) | 40 (37, НО) | 
| Співвідношення ризиків (95 % ДІ)a | 0,724 (0,568; 0,924) | |
| р-значення б | 0,00455 | |
| Підгрупа режиму першої лінії | n = 237 | n = 128 | 
| Кількість випадків — n [%] | 63 (26,6) | 47 (36,7) | 
| Співвідношення ризиків (95 % ДІ)в | 0,700 (0,479; 1,021) | |
| Підгрупа режиму другої лінії лікування або раннього рецидиву | n = 237 | n = 109 | 
| Кількість випадків — n [%] | 102 (43,0) | 60 (55,0) | 
| Співвідношення ризиків (95 % ДІ)в | 0,730 (0.530; 1,004) | |
| НО — не оцінювалася. a Співвідношення ризиків отримане за моделлю Кокса РН, стратифікованою за наявністю метастазів у легені та/або печінку, попередньою ендокринною терапією. б Одностороннє р-значення отримане з лог-рангового критерію, стратифікованого за наявністю метастазів в легені та/або печінку, попередньою ендокринною терапією відповідно до IRT. р-значення є одностороннім і порівнюється з граничним значенням 0,01129, визначеним за функцією залежності ймовірності помилки I роду від отриманої частки необхідної інформації Лана — ДеМеца (O’Браяна — Флемінга) для загального рівня значущості 0,025. в Співвідношення ризиків отримане за нестратифікованою моделлю Кокса РН. | ||
MONALEESA-3 (F2301): графік Каплана — Мейєра для ЗВ (набір даних для повного аналізу [НДПА]) (дата завершення збору даних — 03.06.2019)
Рис. 8.
Лог-ранговий критерій та модель Кокса стратифіковані за наявністю метастазів в легені та/або печінку, попередньою хіміотерапією при поширеному захворюванні та компонентом ендокринної комбінації за IRT.
Час до прогресування під час терапії наступної лінії або смерті (ВБП2) у пацієнтів у групі Кіскалі був більшим порівняно з пацієнтами у групі плацебо (СР (співвідношення ризиків): 0,670 [95 % ДІ: 0,542; 0,830]) у загальній популяції дослідження. Медіана ВБП2 становила 39,8 місяця (95 % ДІ: 32,5; НО) для групи Кіскалі та 29,4 місяця (95 % ДІ: 24,1; 33,1) для групи плацебо.
Пацієнти літнього віку.
З усіх пацієнтів, які отримували препарат Кіскалі у дослідженнях MONALEESA-2 і MONALEESA-3, представниками цієї вікової групи були пацієнти віком ≥ 65 років і ≥ 75 років. Загальних відмінностей між цими пацієнтами та пацієнтами більш молодого віку щодо безпеки або ефективності препарату Кіскалі не спостерігалося (див. розділ «Спосіб застосування та дози»).
Пацієнти з нирковою недостатністю.
У трьох опорних дослідженнях (MONALEESA-2, MONALEESA-3 і MONALEESA-7) 510 (53,8 %) пацієнтів із нормальною функцією нирок, 341 (36 %) пацієнт з легкою нирковою недостатністю і 97 (10,2 %) пацієнтів з помірною нирковою недостатністю отримували лікування рибоциклібом. Жодного пацієнта з тяжкою нирковою недостатністю включено не було. Дані щодо ВБП були подібними у пацієнтів з легкою та помірною нирковою недостатністю, які отримували рибоцикліб у початкові дозі 600 мг, порівняно з пацієнтами із нормальною функцією нирок. Профіль безпеки у пацієнтів з порушенням функції нирок був загалом порівнянним із таким у пацієнтів без порушення функції нирок (див. розділ «Побічні реакції»).
Діти.
Європейське агентство з лікарських засобів відклало зобов’язання щодо надання результатів досліджень препарату Кіскалі в усіх підгрупах дітей при раку молочної залози (див. інформацію щодо застосування дітям у розділі «Спосіб застосування та дози»).
Фармакокінетика.
Фармакокінетика рибоциклібу була досліджена у пацієнтів з поширеним раком після перорального застосування препарату у добовій дозі від 50 до 1200 мг. Здорові добровольці отримували перорально одноразові дози в діапазоні від 400 мг до 600 мг або повторні дози по 400 мг на добу (8 днів).
Всмоктування.
Абсолютна біодоступність рибоциклібу невідома.
Час досягнення Cmax (Tmax) після перорального застосування рибоциклібу становив 1–4 години. Спостерігалося незначне надпропорційне збільшення експозиції (Cmax та AUC) рибоциклібу у досліджуваному діапазоні доз (від 50 до 1200 мг). Після повторного застосування 1 раз на добу рівноважний стан, як правило, досягався через 8 днів, а кумуляція рибоциклібу відбувалася із середнім геометричним коефіцієнтом 2,51 (діапазон: від 0,97 до 6,40).
Вплив їжі.
Порівняно із застосуванням натще, пероральне застосування рибоциклібу у таблетках, вкритих плівковою оболонкою, в одноразовій дозі 600 мг з висококалорійною їжею з високим вмістом жиру не впливало на швидкість і ступінь всмоктування рибоциклібу.
Розподіл.
Зв’язування рибоциклібу з білками плазми крові людини in vitro становило приблизно 70 % і не залежало від концентрації препарату (від 10 до 10 000 нг/мл). Рибоцикліб рівномірно розподілявся між еритроцитами та плазмою крові із середнім співвідношенням кров/плазма in vivo 1,04. За даними популяційного фармакокінетичного аналізу видимий об’єм розподілу у рівноважному стані (Vss/F) становив 1090 л.
Біотрансформація.
Дослідження in vitro та in vivo продемонстрували, що у людини рибоцикліб метаболізується головним чином в печінці, переважно за участю CYP3A4. Після перорального застосування [14C] рибоциклібу в одноразовій дозі 600 мг у людини основними шляхами метаболізму рибоциклібу були окиснення (деалкілування, C та/або N-оксигенація, окиснення (-2H)) та їх комбінації. Кон’югати ІІ фази метаболітів рибоциклібу І фази піддавалися N-ацетилюванню, сульфатуванню, кон’югації з цистеїном, глікозилюванню і глюкуронідації. Рибоцикліб був основною циркулюючою у плазмі похідною речовиною лікарського засобу. Основними циркулюючими метаболітами були метаболіт М13 (CCI284, N-гідроксилювання), М4 (LEQ803, N-деметилування) і М1 (вторинний глюкуронід). Клінічна активність (фармакологічні властивості та безпека) рибоциклібу була обумовлена в основному вихідною речовиною і лише незначним чином циркулюючими метаболітами.
Рибоцикліб екстенсивно метаболізувався, при цьому кількість незміненого препарату у калі та сечі становила 17,3 % і 12,1 % від дози відповідно. Метаболіт LEQ803 у значній кількості визначався у випорожненнях і становив приблизно 13,9 % і 3,74 % введеної дози у калі і сечі відповідно. Багато інших метаболітів було виявлено у калі та сечі в незначних кількостях (≤ 2,78 % введеної дози).
Виведення.
У рівноважному стані при застосуванні дози 600 мг пацієнтам з поширеним раком середнє геометричне значення ефективного періоду напіввиведення з плазми крові (на основі коефіцієнта кумуляції) становило 32,0 години (63 % CV) і середнє геометричне значення видимого кліренсу (CL/F) при пероральному застосуванні становило 25,5 л/год (66 % CV). Середнє геометричне значення видимого кінцевого періоду напіввиведення з плазми крові (T1/2) рибоциклібу знаходилося в діапазоні від 29,7 до 54,7 години, а середнє геометричне значення CL/F рибоциклібу знаходилося в діапазоні від 39,9 до 77,5 л/год при застосуванні дози 600 мг здоровим добровольцям у всіх дослідженнях.
Рибоцикліб та його метаболіти виводяться переважно через кишечник і лише незначна кількість – нирками. У 6 здорових добровольців чоловічої статі після перорального застосування одноразової дози [14C] рибоциклібу 91,7 % загальної введеної радіоактивної дози виводилося протягом 22 днів; основний шлях виведення – з калом (69,1 %), а 22,6 % дози виводилося із сечею.
Лінійність/нелінійність.
Спостерігалося незначне надпропорційне збільшення експозиції (Cmax та AUC) рибоциклібу у досліджуваному діапазоні доз (від 50 до 1200 мг) після застосування як одноразових, так і повторних доз. Цей аналіз обмежений невеликим розміром вибірки для більшості когорт, які отримують певні дози; найбільша кількість даних отримана у когорті застосування дози 600 мг.
Особливі групи пацієнтів.
Порушення функції нирок.
Вплив порушення функції нирок на фармакокінетику рибоциклібу оцінювали у дослідженні, що включало 14 здорових добровольців з нормальною функцією нирок (абсолютна швидкість клубочкової фільтрації [аШКФ] ≥ 90 мл/хв), 8 осіб із легкою нирковою недостатністю (аШКФ від 60 до < 90 мл/хв), 6 осіб із помірною нирковою недостатністю (аШКФ від 30 до < 60 мл/хв), 7 осіб з тяжкою нирковою недостатністю (аШКФ від 15 до < 30 мл/хв) та 3 особи з термінальною стадією ниркової недостатності (аШКФ < 15 мл/хв), яким застосовували рибоцикліб одноразово у дозі 400 мг.
AUCinf збільшувалась в 1,6 раза, 1,9 раза і 2,7 раза, а Cmax — в 1,8 раза, 1,8 раза і 2,3 раза відповідно у осіб з легкою, помірною і тяжкою нирковою недостатністю порівняно з експозицією у осіб з нормальною функцією нирок. Оскільки дослідження ефективності та безпеки рибоциклібу включали велику частку пацієнтів із легкою нирковою недостатністю (див. розділ «Фармакодинаміка»), дані щодо пацієнтів із помірною або тяжкою нирковою недостатністю у дослідженні з порушенням функції нирок також порівнювали з об’єднаними даними щодо осіб із нормальною функцією нирок і легкою нирковою недостатністю. Порівняно з об’єднаними даними щодо осіб із нормальною функцією нирок та легкою нирковою недостатністю, AUCinf збільшувалась в 1,6 раза та 2,2 раза, а Cmax — у 1,5 раза та 1,9 раза у осіб із помірною та тяжкою нирковою недостатністю відповідно. Кратна різниця щодо осіб із термінальною стадією ниркової недостатності не розраховувалась через незначну кількість відповідних осіб, але результати вказують на подібне або дещо більше підвищення експозиції рибоциклібу порівняно з особами з тяжкою нирковою недостатністю.
Вплив порушення функції нирок на фармакокінетику рибоциклібу також оцінювали у хворих на рак, включених до досліджень ефективності та безпеки, де пацієнти отримували початкову дозу 600 мг (див. розділ «Фармакодинаміка»). У аналізі фармакокінетичних даних у підгрупах хворих на рак пацієнтів після перорального прийому 600 мг рибоциклібу у вигляді одноразової дози або повторних доз AUCinf та Cmax рибоциклібу у пацієнтів із легкою (n = 57) або помірною (n = 14) нирковою недостатністю були порівнянні з такими у пацієнтів з нормальною функцією нирок (n = 86), що свідчить про відсутність клінічно значущого впливу легкої або помірної ниркової недостатності на експозицію рибоциклібу.
Порушення функції печінки.
За даними фармакокінетичного дослідження в осіб без раку порушення функції печінки легкого ступеня не впливало на експозицію рибоциклібу (див. розділ «Спосіб застосування та дози»). Середня експозиція рибоциклібу у пацієнтів з порушенням функції печінки помірного (співвідношення середніх геометричних значень [ССГ]: 1,44 для Cmax; 1,28 для AUCinf) і тяжкого ступеня (ССГ: 1,32 для Cmax; 1,29 для AUCinf) була підвищена менше ніж у 2 рази (див. розділ «Спосіб застосування та дози»). Дані популяційного фармакокінетичного аналізу, що включав 160 пацієнтів з раком молочної залози і нормальною функцією печінки та 47 пацієнтів з порушенням функції печінки легкого ступеня, також продемонстрували, що порушення функції печінки легкого ступеня не впливало на експозицію рибоциклібу. Рибоцикліб не досліджували у пацієнтів з раком молочної залози з помірним або тяжким порушенням функції печінки.
Вплив віку, маси тіла, статі та расової приналежності.
Популяційний фармакокінетичний аналіз показав, що вік, маса тіла та стать не чинили клінічно значущого впливу на системну експозицію рибоциклібу, при якому могла б виникнути необхідність у корекції дози. Дані про відмінності у фармакокінетиці, обумовлені расовою приналежністю, занадто обмежені, щоб зробити висновки.
Дані взаємодії in vitro.
Вплив рибоциклібу на ферменти цитохрому P450.
В умовах in vitro рибоцикліб є оборотним інгібітором CYP1A2, CYP2E1 та CYP3A4/5 і залежним від часу інгібітором CYP3A4/5 у клінічно значущих концентраціях. Дослідження in vitro показали, що рибоцикліб не пригнічує активність CYP2A6, CYP2B6, CYP2C8, CYP2C9, CYP2C19 та CYP2D6 у клінічно значущих концентраціях. Рибоцикліб не має потенціалу до залежного від часу інгібування CYP1A2, CYP2C9 і CYP2D6.
Дані in vitro свідчать про те, що рибоцикліб не має потенціалу до індукування ферментів UGT або ферментів CYP, таких як CYP2C9, CYP2C19 та CYP3A4, через прегнан-Х-рецептор (PXR). Таким чином, малоймовірно, що препарат Кіскалі впливатиме на субстрати цих ферментів. Даних in vitro недостатньо для виключення потенціалу рибоциклібу індукувати CYP2B6 через конститутивний андростан-рецептор (CAR).
Вплив транспортерів на рибоцикліб.
В умовах in vitro рибоцикліб є субстратом P-gp, але на основі даних балансу мас, малоймовірно, що інгібування P-gp або BCRP впливатиме на експозицію рибоциклібу у терапевтичних дозах. Рибоцикліб не є субстратом для транспортерів печінкового захоплення OATP1B1, OATP1B3 або OCT-1 в умовах in vitro.
Вплив рибоциклібу на транспортери.
Дослідження in vitro показали, що рибоцикліб має потенціал до інгібіції активності транспортерів лікарських засобів P-gp, BCRP, OATP1B1/1B3, OCT1, OCT2, MATE1 та BSEP. Рибоцикліб не інгібував OAT1, OAT3 або MRP2 у клінічно значущих концентраціях в умовах in vitro.
Доклінічні дані з безпеки.
Фармакологічна безпека.
Дослідження кардіологічної безпеки in vivo на собаках продемонстрували залежне від дози та концентрації подовження інтервалу QTс при експозиції, якої можна досягти у пацієнтів після застосування рекомендованої дози 600 мг. Також при підвищених рівнях експозиції (приблизно в 5 разів вище очікуваної клінічної Cmax) існує можливість індукції передчасних скорочень шлуночків.
Токсичність повторних доз.
У дослідженнях токсичності повторних доз (схема лікування: 3 тижні застосування/1 тиждень перерви) тривалістю до 27 тижнів у щурів і до 39 тижнів у собак було виявлено, що основним органом, на який рибоцикліб чинить токсичний вплив, є гепатобіліарна система (проліферативні зміни, холестаз, подібні до піску конкременти у жовчному міхурі та густа жовч). До органів-мішеней, пов’язаних із фармакологічною дією рибоциклібу, у дослідженнях застосування повторних доз належать кістковий мозок (гіпоцелюлярність), лімфоїдна система (виснаження лімфоїдної тканини), слизова оболонка кишечнику (атрофія), шкіра (атрофія), кістки (зменшення утворення кісткової тканини), нирки (одночасна дегенерація та регенерація тубулярних епітеліальних клітин) та яєчки (атрофія). Окрім атрофічних змін, що спостерігалися в яєчках і мали тенденцію до оборотності, всі інші зміни були повністю оборотними після 4-тижневого періоду без лікування. Експозиція рибоциклібу у тварин у дослідженнях токсичності була, як правило, меншою або рівною тій, що спостерігалася у пацієнтів, які отримували багаторазові дози 600 мг/добу (на основі AUC).
Репродуктивна токсичність/ вплив на фертильність.
Рибоцикліб виявляв фетотоксичність і тератогенність у щурів або кролів у дозах, які не чинили токсичного впливу на вагітну самку. Після пренатальної експозиції у щурів спостерігалося збільшення випадків післяімплантаційної загибелі плода та зменшення маси тіла плода, а у кролів рибоцикліб виявився тератогенним при експозиції ≤ 1,5 рази більшій, ніж у людини, при застосуванні у найвищій рекомендованій дозі 600 мг/добу (на основі AUC).
У щурів відзначали зниження маси тіла плодів, що супроводжувалося змінами скелета, які вважалися тимчасовими та/або пов’язаними з меншою масою тіла плода. У кролів спостерігався несприятливий вплив на розвиток ембріона/плода, про що свідчило підвищення частоти аномалій розвитку плода (вади розвитку і зовнішні, вісцеральні та скелетні аномалії) та росту плода (зниження маси тіла плодів). Ці аномалії включали зменшені/малі долі легень, додаткову судину на дузі аорти і діафрагмальну грижу, відсутність додаткової долі або (частково) зрощені легеневі долі і зменшені/малі додаткові долі легень (30 і 60 мг/кг), додаткові/рудиментарні тринадцяті ребра, деформовану під’язикову кістку і зменшену кількість фаланг першого пальця. Випадків смерті ембріона/плода не було.
У дослідженні фертильності у самок щурів рибоцикліб не впливав на репродуктивну функцію, фертильність або ранні стадії ембріогенезу при будь-якій дозі до 300 мг/кг/добу (ймовірно, при експозиції, нижчій або рівній клінічній експозиції у пацієнтів при найвищій рекомендованій дозі рибоциклібу 600 мг/добу на основі AUC).
Рибоцикліб не оцінювали у дослідженнях чоловічої фертильності. Однак у дослідженнях токсичності у щурів і собак повідомляли про атрофічні зміни в яєчках при експозиціях, які були меншими або рівними експозиціям у людини при найвищій рекомендованій добовій дозі 600 мг/добу на основі AUC. Ці ефекти можуть бути пов’язаними з прямим антипроліферативним впливом на зародкові клітини яєчка, що призводить до атрофії сім’яних канальців.
Рибоцикліб і його метаболіти легко проникали в молоко щурів. Експозиція рибоциклібу у молоці була вищою, ніж у плазмі.
Генотоксичність.
У дослідженнях генотоксичності у бактеріальних системах in vitro та у системах in vitro та in vivo у ссавців з метаболічною активацією та без неї не було виявлено будь-яких ознак генотоксичного потенціалу рибоциклібу.
Канцерогенність.
Канцерогенність рибоциклібу оцінювали під час 2-річного дослідження на щурах.
Пероральне застосування рибоциклібу протягом 2 років призводило до збільшення частоти епітеліальних пухлин ендометрію, залозистої та плоскоклітинної гіперплазії матки / шийки матки у самок щурів при дозах ≥ 300 мг/кг/д, а також до збільшення частоти фолікулярних пухлин щитовидної залози у самців щурів у дозі 50 мг/кг/д. Середня експозиція в рівноважному стані (AUC0–24 год) у самок і самців щурів, у яких спостерігалися неопластичні зміни, була в 1,2 і 1,4 раза більшою, ніж у пацієнтів при рекомендованій дозі 600 мг/д відповідно. Середня експозиція в рівноважному стані (AUC0–24 год) у самок і самців щурів, у яких спостерігалися неопластичні зміни, була в 2,2 і 2,5 раза більшою, ніж у пацієнтів при дозі 400 мг/д відповідно.
Додаткові ненеопластичні проліферативні зміни включали збільшення кількості вогнищевих змін печінки (базофіли та прозорі клітини) і гіперплазію інтерстиціальних клітин яєчок (клітини Лейдіга) у самців щурів при дозах ≥ 5 мг/кг/д і 50 мг/кг/д відповідно.
Вплив на матку / шийку матки та на інтерстиціальні клітини яєчка (клітини Лейдіга) може бути пов’язаний із тривалою гіпопролактинемією внаслідок інгібування CDK4 функції лактотрофних клітин у гіпофізі, що змінює гіпоталамо-гіпофізарно-гонадну вісь.
Потенційні механізми змін щитовидної залози у самців включають специфічну для гризунів індукцію мікросомальних ферментів у печінці та/або дисрегуляцію гіпоталамо-гіпофізарно-тестикулярно-тироїдної осі внаслідок стійкої цільової гіпопролактинемії.
Будь-яке потенційне збільшення співвідношення естроген/прогестерон у людини під дією цього механізму компенсується інгібіторною дією супутньої антиестрогенної терапії на синтез естрогену, оскільки для людей лікарський засіб Кіскалі показаний у комбінації з препаратами, що знижують рівень естрогену.
Зважаючи на важливі відмінності між гризунами і людьми з точки зору синтезу та ролі пролактину, очікується, що цей механізм не матиме наслідків для людини.
Клінічні характеристики.
Показання.
Кіскалі показаний в комбінації з інгібітором ароматази або фулвестрантом для лікування жінок з місцево поширеним або метастатичним раком молочної залози з позитивним статусом HR (рецепторів гормонів) та негативним статусом HER2 (рецептора епідермального фактора росту людини 2 типу) як початкова ендокринна терапія або для лікування жінок, які попередньо отримували ендокринну терапію.
У жінок в пременопаузі або перименопаузі ендокринну терапію слід проводити у комбінації з агоністом лютеїнізуючого гормону рилізинг-гормону (ЛГРГ).
Протипоказання.
Підвищена чутливість до діючої речовини або до арахісу, сої, або до будь-якої допоміжної речовини препарату.
Взаємодія з іншими лікарськими засобами та інші види взаємодій.
Препарати, які можуть підвищувати концентрацію рибоциклібу у плазмі крові.
Рибоцикліб метаболізується головним чином за допомогою CYP3A4. Тому лікарські засоби, які можуть впливати на активність ферменту CYP3A4, можуть впливати і на фармакокінетику рибоциклібу. Одночасне застосування потужного інгібітора CYP3A4 ритонавіру (100 мг 2 рази на добу протягом 14 днів) з рибоциклібом в одноразовій дозі 400 мг здоровим добровольцям призводило до підвищення експозиції (AUCinf) та максимальної концентрації (Cmax) рибоциклібу у 3,2 і 1,7 раза відповідно порівняно із застосуванням рибоциклібу в одноразовій дозі 400 мг окремо. Cmax та AUClast для LEQ803 (основного метаболіту рибоциклібу, що становить менше 10 % від експозиції вихідної речовини) зменшувалися на 96 % і 98 % відповідно.
Потрібно уникати одночасного застосування потужних інгібіторів CYP3A4, таких як, зокрема, кларитроміцин, індинавір, ітраконазол, кетоконазол, лопінавір, ритонавір, нефазодон, нелфінавір, посаконазол, саквінавір, телапревір, телітроміцин, верапаміл і вориконазол (див. розділ «Особливості застосування»). Слід розглянути можливість застосування альтернативних лікарських засобів, які є менш потужними інгібіторами CYP3A4, а також проводити моніторинг стану пацієнтів щодо побічних реакцій (ПР), пов’язаних із рибоциклібом (див. розділи «Спосіб застосування та дози», «Особливості застосування» та «Фармакокінетика»).
Якщо одночасного застосування препарату Кіскалі з потужним інгібітором CYP3A4 не можна уникнути, слід зменшити дозу препарату Кіскалі, як описано у розділі «Спосіб застосування та дози». Однак клінічні дані щодо такої корекції дози відсутні. У зв’язку з міжіндивідуальною варіабельністю рекомендована корекція дози може не бути оптимальною для всіх пацієнтів, тому рекомендується ретельний моніторинг щодо ПР, пов’язаних із рибоциклібом. У разі виникнення токсичних ефектів рибоциклібу слід відкоригувати дозу препарату або тимчасово припинити застосування препарату до усунення проявів токсичності (див. розділи «Спосіб застосування та дози» та «Фармакокінетика»). У разі припинення застосування потужного інгібітора CYP3A4 щонайменше через 5 періодів його напіввиведення (див. інструкцію для медичного застосування інгібітора CYP3A4 у разі виникнення питань) застосування препарату Кіскалі слід відновити у тій самій дозі, що і до початку застосування потужного інгібітора CYP3A4.
Фізіологічно обґрунтоване фармакокінетичне моделювання продемонструвало, що при застосуванні рибоциклібу у дозі 600 мг помірний інгібітор CYP3A4 (еритроміцин) може підвищувати Cmax та AUC рибоциклібу у рівноважному стані в 1,2 та 1,3 раза відповідно. У пацієнтів, яким доза рибоциклібу була знижена до 400 мг 1 раз на добу, Cmax та AUC у рівноважному стані були підвищені в 1,4 та 2,1 раза відповідно. Передбачається, що при застосуванні рибоциклібу у дозі 200 мг 1 раз на добу спостерігатиметься підвищення в 1,7 та 2,8 раза відповідно. На початку лікування слабкими або помірними інгібіторами CYP3A4 корекція дози рибоциклібу не потрібна. Однак рекомендується проводити моніторинг ПР, пов’язаних із рибоциклібом.
Пацієнтів слід поінформувати про необхідність уникати вживання грейпфрутів та грейпфрутового соку. Відомо, що ці продукти інгібують ферменти цитохрому CYP3A4 і можуть підвищувати експозицію рибоциклібу.
Препарати, які можуть знижувати концентрацію рибоциклібу у плазмі крові.
Одночасне застосування здоровим добровольцям потужного індуктора CYP3A4 рифампіцину (600 мг на добу протягом 14 днів) з рибоциклібом в одноразовій дозі 600 мг знижувало AUCinf та Cmax рибоциклібу на 89 % та 81 % відповідно порівняно із застосуванням рибоциклібу в одноразовій дозі 600 мг окремо. Cmax LEQ803 підвищувалася в 1,7 раза, а AUCinf знижувалася на 27 % відповідно. Таким чином, одночасне застосування потужних індукторів CYP3A4 може призводити до зниження експозиції та, як наслідок, до ризику втрати ефективності. Слід уникати одночасного застосування потужних індукторів CYP3A4, таких як, зокрема, фенітоїн, рифампіцин, карбамазепін і звіробій (Hypericum perforatum). Слід розглянути можливість одночасного застосування альтернативного лікарського засобу, який не має або має мінімальну здатність індукувати CYP3A4.
Вплив помірних індукторів CYP3A4 на експозицію рибоциклібу не досліджували. Фізіологічно обґрунтоване фармакокінетичне моделювання продемонструвало, що помірний індуктор CYP3A4 (ефавіренц) може знижувати Cmax та AUC рибоциклібу у рівноважному стані на 51 % та 70 % відповідно. Одночасне застосування помірних індукторів CYP3A4 може, таким чином, призводити до зниження експозиції та, як наслідок, до ризику зниження ефективності, зокрема у пацієнтів, які отримують рибоцикліб у дозі 400 мг або 200 мг 1 раз на добу.
Препарати, на концентрацію яких у плазмі крові може впливати Кіскалі.
Рибоцикліб є помірним/потужним інгібітором CYP3A4 і може взаємодіяти з лікарськими субстанціями, які метаболізуються за участю CYP3A4, що може призводити до підвищення концентрації у сироватці одночасно застосовуваного лікарського засобу.
Одночасне застосування здоровим добровольцям мідазоламу (субстрат CYP3A4) з багаторазовими дозами препарату Кіскалі (400 мг) підвищувало експозицію мідазоламу на 280 % (у 3,8 раза) порівняно із застосуванням мідазоламу окремо. Моделювання з використанням фізіологічно обґрунтованих фармакокінетичних моделей продемонструвало, що при застосуванні препарату Кіскалі у клінічно значущій дозі 600 мг очікується підвищення AUC мідазоламу у 5,2 раза. Тому, як правило, при одночасному застосуванні рибоциклібу з іншими лікарськими засобами необхідно ознайомитися з рекомендаціями щодо одночасного застосування з інгібіторами CYP3A4 в інструкціях для медичного застосування цих лікарських засобів. Рекомендується дотримуватися обережності при одночасному застосуванні з чутливими субстратами CYP3A4 з вузьким терапевтичним індексом (див. розділ «Особливості застосування»). Може бути потрібне зниження дози чутливих субстратів CYP3A4 з вузьким терапевтичним індексом, таких як, зокрема, алфентаніл, циклоспорин, еверолімус, фентаніл, сиролімус і такролімус, оскільки рибоцикліб може підвищувати їх експозицію.
Слід уникати одночасного застосування рибоциклібу у дозі 600 мг з такими субстратами CYP3A4: алфузозин, аміодарон, цизаприд, пімозид, хінідин, ерготамін, дигідроерготамін, кветіапін, ловастатин, симвастатин, силденафіл, мідазолам, триазолам.
Одночасне застосування здоровим добровольцям кофеїну (субстрат CYP1A2) з багаторазовими дозами препарату Кіскалі (400 мг) підвищувало експозицію кофеїну на 20 % (у 1,2 раза) порівняно із застосуванням кофеїну окремо. При застосуванні клінічно значущої дози 600 мг моделювання з використанням фізіологічно обґрунтованих фармакокінетичних моделей прогнозувало лише слабкий інгібуючий вплив рибоциклібу на субстрати CYP1A2 (підвищення AUC у < 2 рази).
Препарати, які є субстратами транспортерів.
Дослідження in vitro продемонстрували, що рибоцикліб має потенціал пригнічувати активність препаратів-транспортерів P-gp, BCRP, OATP1B1/1B3, OCT1, OCT2, MATE1 та BSEP. Рекомендується дотримуватися обережності та проводити моніторинг щодо проявів токсичності протягом одночасного лікування чутливими субстратами цих транспортерів, які мають вузький терапевтичний індекс, таких як, зокрема, дигоксин, пітавастатин, правастатин, розувастатин і метформін.
Взаємодія препарату з їжею.
Препарат Кіскалі можна застосовувати незалежно від прийому їжі (див. розділи «Спосіб застосування та дози» та «Фармакокінетика»).
Лікарські засоби, які підвищують рН шлунка.
Рибоцикліб характеризується високою розчинністю при pH 4,5 або нижче і в біологічному середовищі (при pH 5,0 і 6,5). Одночасне застосування рибоциклібу з лікарськими засобами, які підвищують рН шлунка, не оцінювали у клінічних дослідженнях; однак ні в популяційному фармакокінетичному аналізі, ні в некомпартментному фармакокінетичному аналізі порушення всмоктування рибоциклібу не спостерігалося.
Взаємодія між рибоциклібом і летрозолом.
Дані клінічного дослідження за участю пацієнтів з раком молочної залози та популяційного фармакокінетичного аналізу продемонстрували відсутність взаємодії між рибоциклібом та летрозолом після одночасного застосування цих лікарських засобів.
Взаємодія між рибоциклібом і анастрозолом.
Дані клінічного дослідження за участю пацієнтів з раком молочної залози продемонстрували відсутність клінічно значущої взаємодії між рибоциклібом та анастрозолом після одночасного застосування цих лікарських засобів.
Взаємодія між рибоциклібом і фулвестрантом.
Дані клінічного дослідження за участю пацієнтів з раком молочної залози продемонстрували відсутність клінічно значущого впливу фулвестранту на експозицію рибоциклібу після одночасного застосування цих лікарських засобів.
Взаємодія між рибоциклібом і тамоксифеном.
Дані клінічного дослідження за участю пацієнтів з раком молочної залози продемонстрували, що після одночасного застосування рибоциклібу і тамоксифену експозиція тамоксифену підвищувалася приблизно у 2 рази.
Взаємодія між рибоциклібом та пероральними контрацептивами.
Дослідження взаємодії між рибоциклібом та пероральними контрацептивами не проводилися (див. розділ «Застосування у період вагітності або годування груддю»).
Передбачувані взаємодії.
Антиаритмічні лікарські засоби та інші лікарські засоби, що можуть спричиняти подовження інтервалу QT.
Слід уникати одночасного застосування препарату Кіскалі з лікарськими засобами, здатними спричиняти подовження інтервалу QT, такими як антиаритмічні лікарські засоби (зокрема аміодарон, дизопірамід, прокаїнамід, хінідин і соталол) та іншими лікарськими засобами, здатними спричиняти подовження інтервалу QT (зокрема хлорохін, галофантрин, кларитроміцин, ципрофлоксацин, левофлоксацин, азитроміцин, галоперидол, метадон, моксифлоксацин, бепридил, пімозид та ондансетрон для внутрішньовенного введення) (див. розділ «Особливості застосування»). Препарат Кіскалі також не рекомендується застосовувати у комбінації з тамоксифеном (див. розділи «Показання», «Особливості застосування» та «Фармакодинаміка»).
Особливості застосування.
Вісцеральне захворювання, що загрожує життю.
Ефективність та безпека рибоциклібу у пацієнтів з вісцеральним захворюванням, що загрожує життю, не досліджувалися.
Нейтропенія.
Залежно від ступеня тяжкості нейтропенії лікування препаратом Кіскалі може потребувати тимчасового переривання, зниження дози або припинення, як описано у розділах «Спосіб застосування та дози» та «Побічні реакції».
Гепатобіліарна токсичність.
Перед початком лікування препаратом Кіскалі слід провести функціональні печінкові проби. Після початку лікування слід контролювати функцію печінки (див. розділи «Спосіб застосування та дози» та «Побічні реакції»).
Залежно від ступеня підвищення рівня трансаміназ лікування препаратом Кіскалі може потребувати тимчасового переривання, зниження дози або припинення, як описано у розділах «Спосіб застосування та дози» та «Побічні реакції». Рекомендації для пацієнтів з підвищенням рівня аспартатамінотрансферази (АСТ) / аланінамінотрансферази (АЛТ) ≥ 3 на вихідному рівні відсутні.
Подовження інтервалу QT.
У дослідженні E2301 (MONALEESA-7) подовження інтервалу QTcF на > 60 мс від вихідного рівня спостерігалося у 14/87 (16,1 %) пацієнтів, які отримували препарат Кіскалі у комбінації з тамоксифеном, та у 18/245 (7,3 %) пацієнтів, які отримували препарат Кіскалі у комбінації з нестероїдним інгібітором ароматази (НСІА). Не рекомендується застосовувати препарат Кіскалі у комбінації з тамоксифеном (див. розділи «Побічні реакції» та «Фармакодинаміка»).
Перед початком лікування слід провести ЕКГ. Лікування препаратом Кіскалі слід розпочинати тільки у пацієнтів зі значеннями QTcF менше 450 мс. ЕКГ слід повторити приблизно на 14-й день першого циклу та на початку другого циклу, а в подальшому – за клінічними показаннями (див. розділи «Спосіб застосування та дози» та «Побічні реакції»).
Слід проводити відповідний моніторинг електролітів у сироватці крові (включаючи калій, кальцій, фосфор і магній) до початку лікування, на початку перших 6 циклів, а потім – за клінічними показаннями. Будь-які відхилення від норми слід відкоригувати до початку лікування препаратом Кіскалі та під час лікування препаратом Кіскалі.
Слід уникати застосування препарату Кіскалі пацієнтам з наявністю або значним ризиком розвитку подовження інтервалу QTc. До таких належать пацієнти з:
• синдромом подовження QT;
• неконтрольованим або значним захворюванням серця, включаючи нещодавно перенесений інфаркт міокарда, застійну серцеву недостатність, нестабільну стенокардію та брадиаритмію;
• порушеннями балансу електролітів.
Слід уникати застосування препарату Кіскалі з лікарськими засобами, здатними подовжувати інтервал QT, та/або потужними інгібіторами CYP3A4, оскільки це може призвести до клінічно значущого подовження інтервалу QTcF (див. розділи «Спосіб застосування та дози», «Взаємодія з іншими лікарськими засобами та інші види взаємодій» та «Фармакодинаміка»). Якщо лікування потужним інгібітором CYP3A4 не можна уникнути, слід зменшити дозу до 400 мг 1 раз на добу (див. розділи «Спосіб застосування та дози» та «Взаємодія з іншими лікарськими засобами та інші види взаємодій»).
Залежно від спостережуваного під час лікування подовження QT лікування препаратом Кіскалі може потребувати тимчасового переривання, зниження дози або припинення, як описано у розділах «Спосіб застосування та дози», «Побічні реакції» та «Фармакокінетика».
Тяжкі шкірні реакції.
При лікуванні препаратом Кіскалі повідомлялося про токсичний епідермальний некроліз (ТЕН). Якщо спостерігаються ознаки та симптоми, що свідчать про тяжкі шкірні реакції (наприклад прогресуючий розповсюджений шкірний висип, часто із пухирями або ураженням слизових оболонок), лікування препаратом Кіскалі слід негайно відмінити.
Інтерстиціальна хвороба легенів / пневмоніт.
Інтерстиціальна хвороба легенів (ІХЛ) / пневмоніт спостерігалися при застосуванні Кіскалі. Слід спостерігати за пацієнтами щодо легеневих симптомів, що вказують на ІХЛ/пневмоніт, які можуть включати гіпоксію, кашель та задишку, а також слід проводити корекцію дози відповідно до розділу «Спосіб застосування та дози» (таблиця «Коригування дози та лікування при ІХЛ / пневмоніті»).
Залежно від ступеня тяжкості ІХЛ/пневмоніту, що може бути летальним, може потребуватися тимчасова відміна прийому, зменшення дози або повна відміна лікарського засобу Кіскалі, як описано у розділі «Спосіб застосування та дози» (таблиця «Коригування дози та лікування при ІХЛ / пневмоніті»).
Підвищення рівня креатиніну в крові.
Рибоцикліб може спричиняти підвищення рівня креатиніну в крові як інгібітор ниркових транспортерів, органічного катіонного транспортера 2 (OCT2) і білка 1 мультилікарської екструзії та екструзії токсинів (MATE1), залучених до активної секреції креатиніну з проксимальних канальців (див. розділ «Взаємодія з іншими лікарськими засобами та інші види взаємодій»). У разі підвищення рівня креатиніну в крові під час лікування рекомендується провести подальшу оцінку функції нирок для виключення ниркової недостатності.
Субстрати CYP3A4.
Рибоцикліб є потужним інгібітором CYP3A4 у дозі 600 мг і помірним інгібітором CYP3A4 у дозі 400 мг. Таким чином, рибоцикліб може взаємодіяти з лікарськими засобами, які метаболізуються за участю CYP3A4, що може призвести до підвищення концентрації субстратів CYP3A4 у сироватці крові (див. розділ «Взаємодія з іншими лікарськими засобами та інші види взаємодій»). Рекомендується дотримуватися обережності при одночасному застосуванні з чутливими субстратами CYP3A4 з вузьким терапевтичним індексом, а також ознайомитися з інструкціями для медичного застосування цих препаратів щодо одночасного застосування з інгібіторами CYP3A4.
Ниркова недостатність.
За оцінками, рекомендована початкова доза 200 мг для пацієнтів із тяжкою нирковою недостатністю обумовлює приблизно на 45 % нижчу експозицію порівняно зі стандартною початковою дозою для пацієнтів із нормальною функцією нирок. Ефективність при цій початковій дозі не вивчалася. Слід з обережністю застосовувати препарат пацієнтам із тяжкою нирковою недостатністю, із ретельним моніторингом ознак токсичності (див. розділи «Спосіб застосування та дози» і «Фармакокінетика»).
Жінки репродуктивного віку.
Жінкам репродуктивного віку слід рекомендувати використовувати ефективні методи контрацепції протягом лікування препаратом Кіскалі та щонайменше 21 день після отримання останньої дози препарату (див. розділ «Застосування у період вагітності або годування груддю»).
Соєвий лецитин.
Препарат Кіскалі містить соєвий лецитин. Пацієнтам з підвищеною чутливістю до арахісу або сої не слід приймати Кіскалі (див. розділ «Протипоказання»).
Застосування у період вагітності або годування груддю.
Жінки репродуктивного віку/ контрацепція.
Перед початком лікування препаратом Кіскалі слід провести тест на вагітність.
Жінкам репродуктивного віку, які отримують препарат Кіскалі, слід використовувати ефективні методи контрацепції (наприклад подвійний бар’єрний метод контрацепції) протягом лікування та щонайменше 21 день після припинення лікування препаратом Кіскалі.
Вагітність.
Належних та добре контрольованих досліджень за участю вагітних жінок немає. З огляду на дані, отримані на тваринах, при застосуванні вагітній жінці рибоцикліб може спричиняти шкідливий вплив на плід (див. розділ «Доклінічні дані з безпеки»). Препарат Кіскалі не рекомендується застосовувати у період вагітності та жінкам репродуктивного віку, які не використовують засоби контрацепції.
Годування груддю.
Невідомо, чи проникає рибоцикліб у грудне молоко людини. Дані щодо впливу рибоциклібу на немовля, яке знаходиться на грудному вигодовуванні, або впливу рибоциклібу на продукування молока відсутні. Рибоцикліб і його метаболіти легко проникали у молоко лактуючих щурів. Пацієнткам, які отримують препарат Кіскалі, не слід годувати груддю протягом щонайменше 21 дня після отримання останньої дози.
Фертильність.
Клінічні дані про вплив рибоциклібу на фертильність відсутні. З огляду на дослідження на тваринах рибоцикліб може впливати на фертильність чоловіків із репродуктивним потенціалом (див. розділ «Доклінічні дані з безпеки»).
Здатність впливати на швидкість реакції при керуванні автотранспортом або іншими механізмами.
Препарат Кіскалі може мати незначний вплив на здатність керувати транспортними засобами та працювати з іншими механізмами. Пацієнтам слід рекомендувати бути обережними при керуванні автотранспортом та роботі з іншими механізмами у разі виникнення втоми, запаморочення або вертиго протягом лікування препаратом Кіскалі (див. розділ «Побічні реакції»).
Спосіб застосування та дози.
Лікування препаратом Кіскалі слід розпочинати під наглядом лікаря, який має досвід застосування протипухлинних лікарських засобів.
Дозування.
Рекомендована доза становить 600 мг (три таблетки, вкриті плівковою оболонкою, по 200 мг) рибоциклібу 1 раз на добу протягом 21 дня поспіль із подальшою 7-денною перервою, що складатиме повний цикл з 28 днів. Лікування слід продовжувати доти, доки зберігається клінічна ефективність терапії або до появи неприйнятної токсичності.
Препарат Кіскалі слід застосовувати у комбінації з летрозолом у дозі 2,5 мг або іншим інгібітором ароматази, або з фулвестрантом у дозі 500 мг.
При застосуванні препарату Кіскалі у комбінації з інгібітором ароматази інгібітор ароматази слід застосовувати перорально 1 раз на добу безперервно протягом 28-денного циклу. Для отримання більш детальної інформації див. інструкцію для медичного застосування інгібітора ароматази.
При застосуванні препарату Кіскалі у комбінації з фулвестрантом фулвестрант вводять внутрішньом’язово у 1-й, 15-й і 29-й дні, а потім – 1 раз на місяць. Для отримання більш детальної інформації див. інструкцію для медичного застосування фулвестранту.
Лікування жінок в пре- та перименопаузальному періоді схваленими комбінаціями з препаратом Кіскалі повинно також включати агоністи ЛГРГ відповідно до місцевих стандартів клінічної практики.
Препарат Кіскалі можна застосовувати незалежно від прийому їжі (див. розділ «Взаємодія з іншими лікарськими засобами та інші види взаємодій»). Пацієнтам слід рекомендувати приймати дозу препарату приблизно в один і той же час кожного дня, бажано вранці. При виникненні у пацієнта блювання після прийому препарату або у разі пропуску дози не слід приймати додаткову дозу у цей день. Наступну призначену дозу слід прийняти у звичайний час.
Корекція дози.
Лікування тяжких або непереносимих побічних реакцій на препарат може вимагати тимчасового переривання лікування, зниження дози або припинення прийому препарату Кіскалі. Вказівки щодо зниження рекомендованої дози наведено у таблиці 10.
Таблиця 10
Вказівки щодо корекції рекомендованої дози
| Кіскалі | ||
| Доза | Кількість таблеток по 200 мг | |
| Початкова доза | 600 мг/добу | 3 | 
| Перше зниження дози | 400 мг/добу | 2 | 
| Друге зниження дози | 200 мг*/добу | 1 | 
| *Якщо необхідне подальше зниження дози нижче 200 мг/добу, лікування слід остаточно припинити. | ||
У таблицях 11, 12, 13, 14 і 15 підсумовано рекомендації щодо переривання лікування, зниження дози або припинення прийому препарату Кіскалі при лікуванні окремих побічних реакцій на препарат. При клінічній оцінці лікар повинен керуватися планом ведення кожного пацієнта, враховуючи оцінку співвідношення користь/ризик у кожному окремому випадку (див. розділ «Особливості застосування»).
До початку лікування препаратом Кіскалі слід провести загальний аналіз крові (ЗАК). Після початку лікування ЗАК слід проводити кожні 2 тижні протягом перших 2 циклів, на початку кожного із наступних 4 циклів, а в подальшому – за клінічними показаннями.
Таблиця 11
Корекція дози та лікування при нейтропенії
| Нейтропенія | 1 або 2 ступінь* (АКН 1000/мм3 – ≤ НМН) | 3 ступінь * (АКН 500 – < 1000/мм3) | 3 ступінь* фебрильна нейтропенія** | 4 ступінь* (АКН < 500/мм3) | 
| Корекція дози не потрібна. | Тимчасово припинити прийом до відновлення до ≤ 2 ступеня. Відновити прийом препарату Кіскалі у тій самій дозі. При повторному виникненні токсичності 3 ступеня: тимчасово припинити прийом до відновлення до ≤ 2 ступеня, потім відновити прийом препарату Кіскалі у дозі, зниженій до 1 рівня дози. | Тимчасово припинити прийом до відновлення до ≤ 2 ступеня. Відновити прийом препарату Кіскалі у дозі, зниженій до 1 рівня дози. | Тимчасово припинити прийом до відновлення до ≤ 2 ступеня. Відновити прийом препарату Кіскалі у дозі, зниженій до 1 рівня дози. | |
| * Визначення ступеня відповідно до CTCAE, версія 4.03 (CTCAE – загальні термінологічні критерії для оцінки побічних явищ). ** Нейтропенія 3 ступеня з єдиним епізодом гарячки > 38,3 оС (або вище 38 оС протягом більше ніж 1 години та/або супутня інфекція). АКН – абсолютна кількість нейтрофілів; НМН – нижня межа норми. | ||||
До початку лікування препаратом Кіскалі слід провести функціональні печінкові проби (ФПП). Після початку лікування ФПП слід проводити кожні 2 тижні протягом перших 2 циклів, на початку кожного із наступних 4 циклів, а в подальшому – за клінічними показаннями. Якщо відзначаються порушення ≥ 2 ступеня, рекомендується більш частий моніторинг.
Таблиця 12
Корекція дози та лікування при гепатобіліарній токсичності
| Показники | 1 ступінь* (> ВМН – 3 × ВМН) | 2 ступінь * (> 3–5 × ВМН) | 3 ступінь* (> 5–20 × ВМН) | 4 ступінь* (> 20 × ВМН) | 
| Підвищення АСТ та/або АЛТ порівняно з вихідним рівнем** без підвищення рівня загального білірубіну вище 2 × ВМН | Корекція дози не потрібна. | Вихідний рівень < 2: тимчасово припинити прийом до відновлення до ≤ вихідного рівня, потім відновити прийом препарату Кіскалі у тій самій дозі. При повторному виникненні токсичності 2 ступеня відновити прийом препарату Кіскалі у дозі, зниженій до найближчого дозового рівня. | Тимчасово припинити прийом препарату Кіскалі до відновлення до ≤ вихідного рівня, потім відновити прийом препарату у дозі, зниженій до найближчого дозового рівня. При повторному виникненні токсичності 3 ступеня остаточно припинити прийом препарату Кіскалі. | Остаточно припинити прийом препарату Кіскалі. | 
| Вихідний рівень = 2: переривання прийому не потрібне. | ||||
| Одночасне підвищення АСТ та/або АЛТ разом з підвищенням рівня загального білірубіну при відсутності холестазу | Якщо у пацієнта спостерігається підвищення АЛТ та/або АСТ > 3 × ВМН разом з підвищенням рівня загального білірубіну > 2 × ВМН, незалежно від вихідного рівня, остаточно припинити прийом препарату Кіскалі. | |||
| * Визначення ступеня відповідно до CTCAE, версія 4.03 (CTCAE – загальні термінологічні критерії для оцінки побічних явищ). ** Вихідний рівень – до початку лікування. ВМН – верхня межа норми. | ||||
До початку лікування препаратом Кіскалі слід провести ЕКГ. Після початку лікування ЕКГ слід повторювати приблизно на 14-й день першого циклу і на початку другого циклу, а в подальшому – за клінічними показаннями. У разі подовження QTcF протягом лікування рекомендується більш частий моніторинг.
Таблиця 13
Корекція дози та лікування при подовженні QT
| Дані ЕКГ | Рекомендації щодо корекції дози та лікування | 
| ЕКГ з інтервалом QTcF > 480 мс | 1. Слід тимчасово припинити застосування препарату. 2. Якщо подовження інтервалу QTcF відновлюється до < 481 мс, слід відновити лікування препаратом у дозі, зниженій до найближчого дозового рівня. 3. Якщо інтервал QTcF повторно підвищується до ≥ 481 мс, слід тимчасово припинити прийом препарату до відновлення інтервалу QTcF до < 481 мс, а потім відновити прийом препарату Кіскалі у дозі, зниженій до найближчого дозового рівня. | 
| ЕКГ з інтервалом QTcF > 500 мс | Якщо інтервал QTcF перевищує 500 мс, слід тимчасово припинити прийом препарату Кіскалі до відновлення інтервалу QTcF до < 481 мс, а потім відновити прийом препарату Кіскалі у дозі, зниженій до найближчого дозового рівня. Якщо інтервал QTcF перевищує 500 мс або спостерігається його зміна більше ніж на 60 мс порівняно з вихідним рівнем у поєднанні зі шлуночковою тахікардією типу «пірует» або поліморфною шлуночковою тахікардією, або ознаками/симптомами тяжкої аритмії, слід остаточно припинити прийом препарату Кіскалі. | 
Таблиця 14
Коригування дози та лікування при ІХЛ/пневмоніті
| 1 ступінь* (асимптоматичний) | 2 ступінь* (симптоматичний) | 3 або 4 ступінь* (тяжкий) | |
| ІХЛ/пневмоніт | Коригування дози не потрібне. Розпочати відповідну медикаментозну терапію та проводити моніторинг за клінічними показаннями. | Тимчасово припинити прийом лікарського засобу Кіскалі до відновлення до ≤ 1 ступеня, потім відновити прийом у дозі, зниженій до найближчого рівня дози**. | Остаточно припинити прийом лікарського засобу Кіскалі. | 
| * Визначення ступеня відповідно до CTCAE, версія 4,03 (CTCAE — загальні термінологічні критерії для оцінки побічних явищ). ** Під час розгляду питання про відновлення прийому Кіскалі слід проводити індивідуалізовану оцінку користі і ризику. ІХЛ — інтерстиціальна хвороба легенів. | |||
Таблиця 15
Корекція дози та лікування при інших токсичних ефектах*
| Інші токсичні ефекти | 1 або 2 ступінь** | 3 ступінь** | 4 ступінь** | 
| Корекція дози не потрібна. Розпочати відповідну медикаментозну терапію та проводити моніторинг за клінічними показаннями. | Тимчасово припинити прийом препарату до відновлення до ≤ 1 ступеня, потім відновити прийом препарату Кіскалі у тій самій дозі. При повторному виникненні токсичності 3 ступеня відновити прийом препарату Кіскалі у дозі, зниженій до найближчого дозового рівня. | Остаточно припинити прийом препарату Кіскалі. | |
| * За винятком нейтропенії, гепатотоксичності, подовження інтервалу QT та ІХЛ / пневмоніту. ** Визначення ступеня відповідно до CTCAE, версія 4.03 (CTCAE – загальні термінологічні критерії для оцінки побічних явищ). | |||
Вказівки щодо корекції дози та іншу відповідну інформацію з безпеки у разі виникнення токсичних ефектів див. в інструкції для медичного застосування одночасно застосовуваного інгібітора ароматази, фулвестранту або агоніста ЛГРГ.
Корекція дози при застосуванні препарату Кіскалі з потужними інгібіторами CYP3A4.
Слід уникати одночасного застосування потужних інгібіторів CYP3A4, необхідно розглянути можливість застосування альтернативних лікарських засобів, які є менш потужними інгібіторами CYP3A4. У разі необхідності одночасного застосування потужного інгібітора CYP3A4 з рибоциклібом дозу препарату Кіскалі слід зменшити до 400 мг 1 раз на добу (див. розділ «Взаємодія з іншими лікарськими засобами та інші види взаємодій»).
Пацієнтам, яким доза рибоциклібу вже була знижена до 400 мг на добу та у яких не можна уникнути одночасного застосування потужного інгібітора CYP3A4, слід додатково знизити дозу до 200 мг.
Пацієнтам, яким доза рибоциклібу вже була знижена до 200 мг на добу та у яких не можна уникнути одночасного застосування потужного інгібітора CYP3A4, слід тимчасово припинити лікування препаратом Кіскалі.
У зв’язку з міжіндивідуальною варіабельністю рекомендована корекція дози не може бути оптимальною для всіх пацієнтів, тому рекомендується ретельний моніторинг щодо ознак токсичності. У разі припинення застосування потужного інгібітора дозу препарату Кіскалі слід змінити на ту, що застосовували до початку прийому потужного інгібітора CYP3A4, через щонайменше 5 періодів напіввиведення потужного інгібітора CYP3A4 (див. розділи «Особливості застосування», «Взаємодія з іншими лікарськими засобами та інші види взаємодій» та «Фармакокінетика»).
Особливі групи пацієнтів.
Порушення функції нирок.
Корекція дози пацієнтам з порушенням функції нирок легкого або середнього ступеня не потрібна. Пацієнтам з тяжким порушенням функції нирок рекомендується початкова доза 200 мг. Лікарський засіб Кіскалі не досліджувався у пацієнтів з раком молочної залози з тяжкою нирковою недостатністю (див. розділи «Особливості застосування», «Фармакодинаміка» та «Фармакокінетика»).
Порушення функції печінки.
Корекція дози пацієнтам з порушенням функції печінки легкого ступеня (клас А за класифікацією Чайлда – П’ю) не потрібна. У пацієнтів з порушенням функції печінки помірного ступеня (клас В за класифікацією Чайлда – П’ю) і тяжкого ступеня (клас С за класифікацією Чайлда – П’ю) може спостерігатися підвищена (менше ніж у 2 рази) експозиція рибоциклібу, тому рекомендована початкова доза препарату Кіскалі становить 400 мг 1 раз на добу (див. розділ «Фармакокінетика»).
Пацієнти літнього віку.
Пацієнтам віком від 65 років корекція дози не потрібна (див. розділ «Фармакокінетика»). Спосіб застосування.
Препарат Кіскалі призначений для перорального застосування 1 раз на добу незалежно від прийому їжі. Таблетки слід ковтати цілими, не розжовуючи, не розламуючи та не розділяючи їх перед проковтуванням. Не слід приймати таблетку, якщо вона розламана, тріснута або її цілісність порушена іншим чином.
Будь-який невикористаний лікарський засіб або його відходи слід утилізувати відповідно до місцевих вимог.
Діти.
Безпека та ефективність застосування препарату Кіскалі дітям та підліткам (віком до 18 років) не встановлені. Дані відсутні.
Передозування.
Повідомлення про випадки передозування препарату Кіскалі обмежені. У разі передозування можуть виникати такі симптоми, як нудота та блювання. Крім того, може спостерігатися гематологічна (наприклад нейтропенія, тромбоцитопенія) токсичність та подовження інтервалу QT. В усіх випадках передозування у разі необхідності слід проводити загальну підтримувальну терапію.
Побічні реакції.
Резюме профілю безпеки.
В об’єднаній базі даних найбільш частими побічними реакціями (ПР) (≥ 20 %), частота яких при застосуванні лікарського засобу Кіскалі та будь-якої комбінації перевищувала частоту при застосуванні плацебо та будь-якої комбінації, були: нейтропенія, інфекції, нудота, втома, діарея, лейкопенія, блювання, головний біль, запор, алопеція, кашель, висип, біль у спині, анемія та відхилення показників функціональних печінкових проб.
В об’єднаній базі даних найбільш частими ПР 3/4 ступеня (> 2 %), частота яких при застосуванні лікарського засобу Кіскалі та будь-якої комбінації перевищувала частоту при застосуванні плацебо та будь-якої комбінації, були нейтропенія, лейкопенія, відхилення показників функціональних печінкових проб, лімфопенія, інфекції, біль у спині, анемія, втома, гіпофосфатемія та блювання.
Зниження дози внаслідок виникнення побічних явищ незалежно від причини відзначено у 39,5 % пацієнтів, які отримували препарат Кіскалі в рамках клінічних досліджень ІІІ фази незалежно від комбінації, а остаточно припинили лікування 8,7 % пацієнтів, які отримували препарат Кіскалі та будь-яку комбінацію в рамках клінічних досліджень ІІІ фази.
Перелік побічних реакцій на препарат.
Загальний профіль безпеки лікарського засобу Кіскалі ґрунтується на об’єднаних даних, отриманих від 1065 пацієнтів, які отримували Кіскалі у комбінації з ендокринною терапією (582 пацієнти — у комбінації з інгібітором ароматази та 483 пацієнти — у комбінації з фулвестрантом) і були включені у рандомізовані, подвійно сліпі, плацебо-контрольовані клінічні дослідження ІІІ фази (MONALEESA-2, MONALEESA-7 підгрупа НСІА та MONALEESA-3) при HR-позитивному, HER2-негативному поширеному або метастатичному раку молочної залози.
Середня тривалість лікування препаратом Кіскалі в рамках досліджень ІІІ фази становила 19,2 місяця, при цьому 61,7 % пацієнтів отримували препарат ≥ 12 місяців.
Побічні реакції на препарат, які спостерігалися у ході клінічних досліджень ІІІ фази (таблиця 15), наведено за класами систем органів згідно з MedDRA [Медичний словник для регуляторної діяльності]. У кожному класі системи органів побічні реакції на препарат зазначено в порядку зменшення їх частоти. У кожній групі за частотою побічні реакції на препарат зазначені в порядку зменшення їх серйозності. Крім того, відповідна категорія частоти для кожної побічної реакції на препарат визначається таким чином (CIOMS III): дуже часто (≥ 1/10); часто (від ≥ 1/100 до < 1/10); нечасто (від ≥ 1/1000 до < 1/100); рідко (від ≥ 1/10 000 до < 1/1000); дуже рідко (< 1/10 000); частота невідома (неможливо оцінити на основі наявних даних).
Таблиця 16
Побічні реакції на препарат, які спостерігалися у трьох клінічних дослідженнях ІІІ фази та протягом постмаркетингового спостереження
| Побічна реакція на препарат | Частота | 
| Інфекції та інвазії | |
| Інфекції1 | Дуже часто | 
| Порушення з боку крові та лімфатичної системи | |
| Нейтропенія, лейкопенія, анемія, лімфопенія | Дуже часто | 
| Тромбоцитопенія, фебрильна нейтропенія | Часто | 
| Порушення обміну речовин і харчування | |
| Зниження апетиту | Дуже часто | 
| Гіпокальціємія, гіпокаліємія, гіпофосфатемія | Часто | 
| Порушення з боку нервової системи | |
| Головний біль, запаморочення | Дуже часто | 
| Вертиго | Часто | 
| Порушення з боку органів зору | |
| Підвищене сльозовиділення, сухість очей | Часто | 
| Порушення з боку серця | |
| Синкопе | Часто | 
| Респіраторні, торакальні та медіастинальні порушення | |
| Задишка, кашель | Дуже часто | 
| Інтерстиціальна хвороба легенів (ІХЛ) / пневмоніт* | Часто | 
| Порушення з боку травної системи | |
| Нудота, діарея, блювання, запор, біль у животі2, стоматит, диспепсія | Дуже часто | 
| Дисгевзія | Часто | 
| Порушення з боку гепатобіліарної системи | |
| Гепатотоксичність3 | Часто | 
| Порушення з боку шкіри та підшкірної клітковини | |
| Алопеція, висип4, свербіж | Дуже часто | 
| Сухість шкіри, еритема, вітиліго | Часто | 
| Токсичний епідермальний некроліз (ТЕН)* | Частота невідома | 
| Порушення з боку кістково-м’язової системи та сполучної тканини | |
| Біль у спині | Дуже часто | 
| Загальні порушення | |
| Втомлюваність, периферичні набряки, підвищення температури тіла, астенія | Дуже часто | 
| Орофарингеальний біль, сухість у роті, | Часто | 
| Лабораторні та інструментальні дослідження | |
| Відхилення показників функціональних печінкових проб5 | Дуже часто | 
| Підвищення рівня креатиніну в крові, подовження інтервалу QT на електрокардіограмі | Часто | 
| *Про побічні реакції повідомлялося протягом постмаркетингового спостереження. 1Інфекції: інфекції сечовидільних шляхів, інфекції дихальних шляхів, гастроентерит, сепсис (< 1 %). 2Біль у животі: біль у животі, біль у верхній ділянці живота. 3Гепатотоксичність: печінковий цитоліз, пошкодження клітин печінки, медикаментозне пошкодження печінки (< 1 %), гепатотоксичність, печінкова недостатність, аутоімунний гепатит (один випадок). 4Висип: висип, макулопапульозний висип, висип зі свербежем. 5Відхилення показників функціональних печінкових проб: підвищення рівня АЛТ, підвищення рівня АСТ, підвищення рівня білірубіну в крові. | |
Опис окремих побічних реакцій на препарат.
Нейтропенія.
У дослідженнях ІІІ фази найбільш частою побічною реакцією на препарат була нейтропенія (75,4 %), а зниження кількості нейтрофілів 3 або 4 ступеня (на основі даних лабораторних досліджень) спостерігали у 62,0 % пацієнтів, які отримували препарат Кіскалі та будь-яку комбінацію.
Серед пацієнтів з нейтропенією 2, 3 або 4 ступеня середній час до розвитку явища становив 17 днів. Середній час до відновлення показника при ступені ≥ 3 (до нормалізації або ступеня < 3) становив 12 днів у групах лікування препаратом Кіскалі та будь-якими комбінаціями після переривання лікування та/або зниження дози, та/або припинення лікування. Фебрильну нейтропенію спостерігали приблизно у 1,7 % пацієнтів, які отримували препарат Кіскалі у ході досліджень III фази. Пацієнтів слід поінформувати про необхідність негайно повідомляти про будь-яку гарячку.
Залежно від ступеня тяжкості нейтропенії її контролювали за допомогою лабораторного моніторингу, переривання лікування та/або корекції дози. Частота припинення лікування через нейтропенію була низькою (0,8 %) (див. розділи «Спосіб застосування та дози» та «Особливості застосування»).
Гепатобіліарна токсичність.
У клінічних дослідженнях ІІІ фази випадки гепатобіліарної токсичності частіше спостерігали у пацієнтів у групах лікування препаратом Кіскалі та будь-якою комбінацією порівняно з групами, що отримували плацебо та будь-яку комбінацію (27,3 % та 19,6 % відповідно), при цьому побічні явища 3/4 ступеня частіше виникали у пацієнтів, які отримували лікування препаратом Кіскалі та будь-якою комбінацією (13,2 % та 6,1 % відповідно). Спостерігалося підвищення рівня трансаміназ. Підвищення рівнів АЛТ (11,2 % та 1,7 %) та АСТ (7,8 % та 2,1 %) 3 або 4 ступеня спостерігали у групах застосування препарату Кіскалі та плацебо відповідно. Одночасне підвищення АЛТ або АСТ більше ніж у три рази вище верхньої межі норми і загального білірубіну більше ніж у два рази вище верхньої межі норми при нормальному рівні лужної фосфатази і за відсутності холестазу спостерігалося у 6 пацієнтів (4 пацієнти в дослідженні A2301 [MONALEESA-2], у яких зазначені показники нормалізувалися протягом 154 днів, і 2 пацієнти в дослідженні F2301 [MONALEESA-3], у яких зазначені показники нормалізувалися протягом 121 та 532 днів відповідно після припинення лікування препаратом Кіскалі). У дослідженні E2301 (MONALEESA-7) про такі випадки не повідомляли.
Тимчасове переривання лікування та/або корекція дози у зв’язку з гепатобіліарною токсичністю потрібні були 12,3 % пацієнтів, які отримували лікування препаратом Кіскалі та будь-якою комбінацією, головним чином через підвищення рівня АЛТ (7,9 %) та/або підвищення рівня АСТ (7,3 %). Остаточне припинення лікування препаратом Кіскалі та будь-якою комбінацією через відхилення показників функціональних печінкових проб або гепатотоксичність відзначалося у 2,4 % та 0,3 % пацієнтів відповідно (див. розділи «Спосіб застосування та дози» та «Особливості застосування»).
У клінічних дослідженнях ІІІ фази 70,9 % (90/127) випадків підвищення рівня АЛТ або АСТ 3 чи 4 ступеня спостерігалися протягом перших 6 місяців лікування. Серед пацієнтів, у яких спостерігалося підвищення рівня АЛТ/АСТ 3 або 4 ступеня, середній час до виникнення цих явищ становив 92 дні у групах лікування препаратом Кіскалі та будь-якою комбінацією. Середній час до відновлення показника (до нормалізації або ступеня ≤ 2) становив 21 день у групах лікування препаратом Кіскалі із будь-якою комбінацією.
Подовження інтервалу QT.
У дослідженні Е2301 (MONALEESA-7) спостережуване середнє подовження інтервалу QTcF від вихідного рівня було приблизно на 10 мс більше у підгрупі застосування тамоксифену і плацебо порівняно з підгрупою застосування НСІА і плацебо, що свідчить про те, що тамоксифен окремо спричиняв подовження інтервалу QTcF і може обумовлювати значення QTcF, що спостерігалися у групі застосування препарату Кіскалі та тамоксифену. У групі плацебо подовження інтервалу QTcF на > 60 мс від вихідного рівня спостерігалося у 6/90 (6,7 %) пацієнтів, які отримували тамоксифен, і не спостерігалося у жодного з пацієнтів, які отримували НСІА (див. розділ «Фармакокінетика»). Подовження інтервалу QTcF на > 60 мс від вихідного рівня спостерігалося у 14/87 (16,1 %) пацієнтів, які отримували препарат Кіскалі та тамоксифен, і у 18/245 (7,3 %) пацієнтів, які отримували препарат Кіскалі та НСІА. Кіскалі не рекомендується застосовувати у комбінації з тамоксифеном (див. розділ «Фармакодинаміка»).
У клінічних дослідженнях ІІІ фази у 9,3 % пацієнтів груп лікування препаратом Кіскалі та інгібітором ароматази або фулвестрантом і у 3,5 % пацієнтів груп застосування плацебо та інгібітора ароматази або фулвестранту спостерігався принаймні один випадок подовження інтервалу QT (в т. ч. подовження інтервалу QT на ЕКГ і синкопе). Огляд даних ЕКГ показав, що у 15 пацієнтів (1,4 %) значення QTcF після початку лікування становило > 500 мс, а у 61 пацієнта (5,8 %) спостерігалося збільшення інтервалу QTcF на > 60 мс від вихідного рівня. Про випадки шлуночкової тахікардії типу «пірует» не повідомляли. Переривання лікування / корекція дози через подовження інтервалу QT на ЕКГ та синкопе потребувалися 2,9 % пацієнтів, які отримували препарат Кіскалі та інгібітор ароматази або фулвестрант.
Аналіз даних ЕКГ показав, що у 55 пацієнтів (5,2 %) та 12 пацієнтів (1,5 %) відзначався принаймні один випадок подовження інтервалу QTcF > 480 мс після початку лікування у групах застосування препарату Кіскалі та інгібітора ароматази або фулвестранту і групах застосування плацебо та інгібітора ароматази або фулвестранту відповідно. Серед пацієнтів, у яких спостерігалося подовження QTcF > 480 мс, середній час до виникнення цього явища становив 15 днів незалежно від комбінації, і ці зміни були оборотними при тимчасовому перериванні лікування та/або зменшенні дози (див. розділи «Спосіб застосування та дози», «Особливості застосування» та «Фармакокінетика»).
Пацієнти з нирковою недостатністю.
У трьох базових дослідженнях 341 пацієнт з легкою нирковою недостатністю і 97 пацієнтів з помірною нирковою недостатністю отримували лікування рибоциклібом. Жодного пацієнта з тяжкою нирковою недостатністю у дослідження включено не було (див. розділ «Фармакодинаміка»). Відзначалася кореляція між ступенем ниркової недостатності на вихідному рівні і значеннями креатиніну крові під час лікування. У пацієнтів з легкою або помірною нирковою недостатністю спостерігалося незначне підвищення частоти подовження інтервалу QT і тромбоцитопенії. Рекомендації щодо моніторингу та коригування дози у випадку таких токсичних ефектів див. у розділах «Спосіб застосування та дози» і «Особливості застосування».
Повідомлення про підозрювані побічні реакції.
Повідомлення про побічні реакції після реєстрації лікарського засобу має велике значення. Це дає змогу проводити моніторинг співвідношення користь/ризик при застосуванні цього лікарського засобу. Медичним та фармацевтичним працівникам, а також пацієнтам або їхнім законним представникам слід повідомляти про усі випадки підозрюваних побічних реакцій та відсутності ефективності лікарського засобу через Автоматизовану інформаційну систему з фармаконагляду за посиланням: https://aisf.dec.gov.ua
Термін придатності. 3 роки.
Умови зберігання.
Зберігати при температурі не вище 30 ○С. Зберігати у недоступному для дітей місці.
Упаковка.
1) По 21 таблетці у блістері, по 3 блістери у картонній коробці.
2) По 21 таблетці у блістері, по 3 блістери у картонній коробці, по 3 коробки у картонній коробці.
Категорія відпуску. За рецептом.
Виробник.
Новартіс Фарма ГмбХ / Novartis Pharma GmbH.
Місцезнаходження виробника та адреса місця провадження його діяльності.
Рунштрассе 25 та Обер Турнштрассе 8, Нюрнберг, 90429, Німеччина / Roonstrasse 25 und Obere Turnstrasse 8, 90429, Nuernberg, Germany.