ДЕЗОФЕМІН® 30
- 
        Україна ТОВ "МІБЕ УКРАЇНА"Dosage form: таблетки, вкриті плівковою оболонкою, по 0,03 мг/0,15 мг; по 21 таблетці у блістері, по 1, або по 3, або по 6 блістерів у картонній коробціComposition: 1 таблетка, вкрита плівковою оболонкою, містить етинілестрадіолу 0,03 мг, дезогестрелу 0,15 мгMedicinal dispensing terms: за рецептомСertificate number: UA/17211/01/01ATS code: G03AA09Expiry: 3 роки
ІНСТРУКЦІЯ
для медичного застосування лікарського засобу
ДЕЗОФЕМІН® 30
Склад:
діючі речовини: етинілестрадіол, дезогестрел;
1 таблетка, вкрита плівковою оболонкою, містить етинілестрадіолу 0,03 мг, дезогестрелу 0,15 мг;
допоміжні речовини: лактози моногідрат, крохмаль кукурудзяний, мальтодекстрин, прозора ізолююча суміш для покриття, натрієва сіль гліколяту крохмалю (тип A), альфа-токоферол, біла суміш для плівкового покриття.
Лікарська форма. Таблетки, вкриті плівковою оболонкою.
Основні фізико-хімічні властивості: круглі таблетки, вкриті плівковою оболонкою білого кольору, з тисненням у вигляді квадрата з одного боку, без дефектів покриття.
Фармакотерапевтична група. Сечостатева система та статеві гормони. Статеві гормони і модулятори статевої системи. Гормональні контрацептиви для системного застосування. Естрогени і гестагени у фіксованих комбінаціях. Код АТХ G03A A09.
Фармакологічні властивості.
Фармакодинаміка
Дезофемін® 30 – це комбінований пероральний контрацептивний засіб, що містить 150 мкг дезогестрелу і 30 мкг етинілестрадіолу.
Етинілестрадіол – добре відомий синтетичний естроген.
Дезогестрел – це синтетичний прогестаген. Після перорального застосування чинить потужну дію, спрямовану на інгібування овуляції, виявляє потужну прогестагенну та антиестрогенну активність, не виявляє естрогенної активності, демонструє дуже слабку андрогенну/анаболічну активність.
Фармакокінетика.
Дезогестрел.
Адсорбція. При пероральному прийомі дезогестрел швидко і повністю всмоктується та перетворюється на етоногестрел. Максимальна концентрація у сироватці крові на рівні майже 2 нг/мл досягається приблизно упродовж 1,5 години після застосування разової дози. Біодоступність становить 62-81 %.
Розподіл. Етоногестрел зв’язується із сироватковим альбуміном та глобуліном, що зв’язує статеві гормони (ГЗСГ). Тільки 2-4 % загальної концентрації лікарського засобу в сироватці крові присутні у вигляді вільного стероїду, а 40-70 % специфічно зв’язані з ГЗСГ. Спричинене етинілестрадіолом збільшення ГЗСГ впливає на розподіл між білками сироватки крові, тим самим спричиняє збільшення ГЗСГ-зв’язаної фракції та зменшення альбумінозв’язаної фракції. Очікуваний об’єм розподілу дезогестрелу — 1,5 л/кг.
Метаболізм. Етоногестрел повністю метаболізується відомими шляхами метаболізму стероїдів. Швидкість виведення метаболітів із сироватки крові становить приблизно 2 мл/хв/кг. Взаємодії з етинілестрадіолом, що приймається супутньо, не виявлено.
Виведення з організму. Рівень етоногестрелу в сироватці крові знижується у два етапи. Кінцевий етап виведення характеризується часом напіввиведення приблизно 30 годин. Дезогестрел та його метаболіти виводяться разом із сечею і жовчю у співвідношенні приблизно 6:4.
Стан рівноваги. Рівень ГЗСГ, що зростає втричі під дією етинілестрадіолу, впливає на фармакокінетику етоногестрелу. Після щоденного застосування рівень речовини в сироватці крові зростає приблизно в 2-3 рази, досягаючи стабільної концентрації у другій половині циклу застосування препарату.
Етинілестрадіол.
Адсорбція. При пероральному прийомі етинілестрадіол швидко і повністю всмоктується. Максимальна концентрація в сироватці крові на рівні приблизно 80 пг/мл досягається упродовж 1-2 годин. Абсолютна біодоступність внаслідок пресистемної кон’югації і першого етапу метаболізму становить майже 60 %.
Розподіл. Етинілестрадіол сильно, але неспецифічно зв’язується із сироватковим альбуміном (приблизно 98,5 %) та індукує збільшення сироваткових концентрацій ГЗСГ. Визначено, що уявний об’єм розподілу етинілестрадіолу становить приблизно 5 л/кг.
Метаболізм. Етинілестрадіол піддається пресистемній кон’югації у слизовій тонкого кишечнику та у печінці. Етинілестрадіол метаболізується головним чином шляхом ароматичного гідроксилювання, проте додатково утворюється велика кількість гідроксильованих і метильованих метаболітів, серед яких існують як вільні метаболіти, так і кон’югати з глюкуронідами і сульфатами. Кліренс становить приблизно 5 мл/хв/кг.
Виведення з організму. Рівень етинілестрадіолу у сироватці крові знижується у два етапи, кінцевий етап виведення характеризується часом напіввиведення приблизно 24 години. Етинілестрадіол не виводиться з організму у незміненому вигляді, його метаболіти виводяться з сечею і жовчю у співвідношенні 4:6. Період напіввиведення метаболітів становить приблизно один день.
Стан рівноваги. Стан рівноваги досягається через 3-4 дні, коли рівень у сироватці на 30-40 % перевищує концентрацію у порівнянні з одноразовою дозою.
Клінічні характеристики.
Показання.
Контрацепція.
Розглядаючи питання про призначення Дезофемін® 30, слід брати до уваги індивідуальні ризики у кожної окремої жінки, особливо ризик розвитку венозної тромбоемболії (ВТЕ), а також зіставити ризик розвитку ВТЕ при застосуванні Дезофемін® 30 і інших комбінованих контрацептивів (див. розділи «Протипоказання» та «Особливості застосування»).
Протипоказання.
Комбіновані гормональні контрацептиви (КГК) не можна застосовувати за наявності будь-яких перелічених нижче станів. У разі якщо будь-який із цих станів або захворювань виникає вперше під час застосування КГК, прийом лікарського засобу слід негайно припинити.
· Підвищена чутливість до діючих речовин або до будь-якого з компонентів лікарського засобу.
· Венозна тромбоемболія (ВТЕ) або ризик її розвитку:
- наявність ВТЕ на даний час (при застосуванні антикоагулянтів) або в анамнезі [наприклад, тромбоз глибоких вен (ТГВ) або тромбоемболія легеневої артерії (ТЕЛА)];
- спадкова або набута схильність до венозної тромбоемболії, така як резистентність до активованого протеїну С (включаючи фактор V Ляйдена), дефіцит антитромбіну III, дефіцит протеїну C, дефіцит протеїну S;
- обширні хірургічні втручання із тривалою іммобілізацією (див. розділ «Особливості застосування»);
- високий ризик виникнення венозної тромбоемболії через наявність множинних факторів (див. розділ «Особливості застосування»).
· Артеріальна тромбоемболія (АТЕ) або ризик її розвитку:
- наявність артеріальної тромбоемболії на даний час, наявність артеріальної тромбоемболії в анамнезі (наприклад, інфаркт міокарда) або продромальний стан (наприклад, стенокардія);
- цереброваскулярне захворювання — інсульт на даний час, інсульт в анамнезі або продромальний стан [наприклад, транзиторна ішемічна атака (ТІА)];
- спадкова або набута схильність до артеріальної тромбоемболії, така як гіпергомоцистеїнемія та наявність антитіл до фосфоліпідів (антитіла до кардіоліпінів, вовчаковий антикоагулянт);
- мігрень в анамнезі з фокальною неврологічною симптоматикою;
- високий ризик виникнення артеріальної тромбоемболії через наявність множинних факторів (див. розділ «Особливості застосування») або наявність одного серйозного фактора, такого як:
- цукровий діабет із судинними ускладненнями;
- тяжка гіпертензія;
- тяжка дисліпопротеїнемія.
· Панкреатит, у тому числі в анамнезі, якщо він пов’язаний із тяжкою гіпертригліцеридемією.
· Наявність на даний час або в анамнезі тяжкого захворювання печінки (доки показники функції печінки не повернуться до норми).
· Наявність на даний час або в анамнезі пухлин печінки (доброякісних або злоякісних).
· Відомі або підозрювані естрогензалежні злоякісні новоутворення (наприклад, статевих органів або молочних залоз).
· Гіперплазія ендометрія.
· Вагінальна кровотеча невстановленої етіології.
· Встановлена або підозрювана вагітність.
Дезофемін® 30 протипоказано для одночасного застосування з лікарськими засобами, що містять омбітасвір/паритапревір/ритонавір і дасабувір, з лікарськими засобами, що містять глекапревір/пібрентасвір або софосбувір/велпатасвір/воксілапревір (див. розділ «Взаємодія з іншими лікарськими засобами та інші види взаємодій»).
Взаємодія з іншими лікарськими засобами та інші види взаємодій.
Застереження. Необхідно уважно прочитати інструкцію для медичного застосування супутнього лікарського засобу для встановлення можливих взаємодій.
Взаємодії між пероральними контрацептивами та іншими лікарськими засобами можуть призвести до проривної кровотечі та/або неефективності перорального контрацептиву. Про нижчезазначені взаємодії повідомляється в літературних джерелах.
Метаболізм у печінці. Можлива взаємодія з лікарськими або рослинними засобами, які індукують мікросомальні ферменти, зокрема ферменти Р450 (CYP), що призводить до підвищеного кліренсу статевих гормонів і може знизити ефективність комбінованих пероральних контрацептивів, в тому числі лікарського засобу Дезофемін® 30. До таких лікарських засобів належать фенітоїн, фенобарбітал, примідон, босентан, карбамазепін, рифампіцин та, можливо, окскарбазепін, топірамат, фельбамат, гризеофульвін, деякі інгібітори протеази ВІЛ (наприклад ритонавір) і ненуклеозидні інгібітори зворотної транскриптази (наприклад ефавіренз) та лікарські засоби, що містять рослинний компонент звіробій.
Індукція ферментів може спостерігатися через кілька днів лікування. Максимальна індукція ферментів зазвичай спостерігається протягом декількох тижнів. Після припинення застосування лікарського засобу індукція ферментів може тривати протягом приблизно 28 днів.
При супутньому застосуванні з гормональними контрацептивами багато інгібіторів протеази ВІЛ (наприклад нелфінавір) і ненуклеозидних інгібіторів зворотної транскриптази (наприклад невірапін) та/або лікарські засоби проти вірусу гепатиту С (ВГС) (наприклад боцепревір, телапревір) можуть збільшувати або зменшувати плазмові концентрації прогестину, в тому числі етоногестрелу, активного метаболіту дезогестрелу, або естрогенів. Чистий ефект цих змін в деяких випадках може бути клінічно значущим.
Жінкам, які приймають будь-який із цих лікарських або рослинних засобів, що індукують ферменти печінки, слід мати на увазі, що ефективність лікарського засобу Дезофемін® 30 може бути зменшена. Під час прийому засобів, що стимулюють мікросомальні ферменти, слід застосовувати бар’єрний метод контрацепції як доповнення до лікарського засобу Дезофемін® 30 протягом усього терміну застосування лікарського засобу, що стимулює мікросомальні ферменти, та протягом 28 днів після припинення застосування такого лікарського засобу.
Якщо період прийому супутнього лікарського засобу поширюється за межі прийому активних таблеток з упаковки КПК, наступну упаковку слід починати без звичайної перерви у застосуванні таблеток. У разі тривалого лікування ферментостимулюючими засобами слід розглянути альтернативний метод контрацепції, на який не впливають лікарські засоби, що стимулюють мікросомальні ферменти.
Одночасне застосування з потужними (наприклад кетоконазол, ітраконазол, кларитроміцин) або помірними (наприклад флуконазол, дилтіазем, еритроміцин) інгібіторами CYP3A4 може призвести до підвищення сироваткових концентрацій естрогенів або прогестинів, в тому числі етоногестрелу, активного метаболіту дезогестрелу.
Пероральні контрацептиви можуть впливати на метаболізм інших лікарських засобів. Відповідно, у плазмі крові та в тканинах концентрації таких лікарських засобів можуть підвищуватися (наприклад циклоспорину) чи знижуватися (наприклад ламотриджину).
Під час клінічних досліджень з пацієнтами, які отримували лікарські засоби для лікування інфекцій вірусного гепатиту С (HCV), що містять омбітасвір/паритапревір/ритонавір і дасабувір з рибавірином або без нього, було виявлено підвищення трансамінази (АЛТ) більше ніж у 5 разів вище верхньої межі норми (ВМН). Це відбувалося зі значно більшою частотою у жінок, які застосовували лікарські засоби, що містять етинілестрадіол, зокрема і комбіновані гормональні контрацептиви (КГК). Крім того, також у пацієнтів, які отримували лікування глекапревіром/пібрентасвіром або софосбувіром/велпатасвіром/воксілапревіром, спостерігалося підвищення АЛТ у жінок, які приймали лікарські засоби, що містять етинілестрадіол, такі як КГК (див. розділ «Протипоказання»). Поновлювати застосування Дезофемін® 30 слід приблизно через 2 тижні після завершення комбінованого лікування.
Лабораторні аналізи. Використання контрацептивних стероїдів може вплинути на результати певних лабораторних тестів, включаючи біохімічні показники функцій печінки, нирок, щитовидної залози, надниркових залоз, рівень білків (переносників) в сироватці крові, наприклад глобуліну, що зв’язує кортикостероїди та/або ліпідну/ліпопротеїнову фракції, показники вуглеводного обміну, коагуляції та фібринолізу. Зміни зазвичай залишаються в межах норми.
Особливості застосування.
За наявності будь-якого із зазначених нижче станів/факторів ризику призначення терапії лікарським засобом Дезофемін® 30 слід обговорити з жінкою. У разі загострення, посилення або першої появи будь-якого із цих станів жінка має звернутись до лікаря. Лікар повинен визначити, чи потрібно припинити застосування КГК.
Порушення кровообігу.
Ризик розвитку венозного тромбоемболізму (ВТЕ)
Застосування будь-якого КГК підвищує ризик розвитку венозного тромбоемболізму (в порівнянні з ризиком, коли КГК не застосовуються). Лікарські засоби, що містять левоногестрел, норгестимат або норетистерон, асоційовані з мінімальним ризиком розвитку ВТЕ. Інші лікарські засоби, такі як Дезофемін® 30, можуть підвищувати ризик в 2 рази. Рішення про застосування будь-якого контрацептиву, який не є лікарським засобом з мінімальним ризиком розвитку ВТЕ, можна приймати тільки після обговорення з жінкою ризиків розвитку ВТЕ при застосуванні лікарського засобу Дезофемін® 30, впливу її індивідуальних факторів на цей ризик, а також того, що ризик розвитку ВТЕ є максимальним упродовж першого року застосування лікарського засобу. Також ризик підвищується при відновленні застосування КГК, якщо перерва становила 4 тижні або більше.
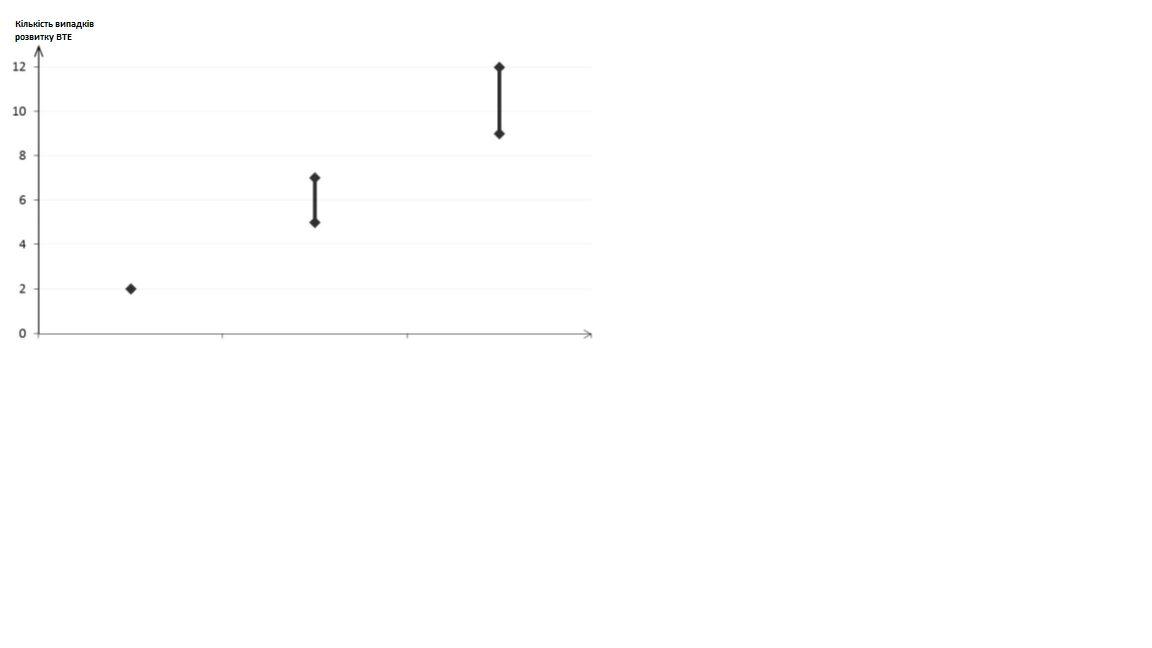
Серед жінок, які не застосовують КГК і не вагітні, у двох із 10 000 розвиватиметься ВТЕ упродовж першого року. Проте у кожної окремої жінки ризик може бути набагато вищий, залежно від основних чинників ризику.
Встановлено1, що з 10 000 жінок, які застосовують КГК, що містить дезогестрел, у 9 – 12 жінок через 1 рік розвиватиметься ВТЕ; для порівняння при застосуванні КГК, що містять левоногестрел, ВТЕ виникатиме у 62 жінок.
В обох випадках кількість випадків ВТЕ в рік менша, ніж очікувана кількість при вагітності і в післяпологовий період.
ВТЕ може бути летальним в 1 – 2 % випадків.
1 Частота встановлена за даними епідеміологічного дослідження з використанням відносних ризиків для різних лікарських засобів в порівнянні з КГК, що містять левоногестрел.
2 Середній діапазон від 5 до 7 на 10 000 жінок-років встановлено за відносним ризиком при застосуванні КГК, що містять левоногестрел, в порівнянні з незастосуванням засобу - від 2,3 до 3,6.
Кількість випадків ВТЕ на 10000 жінок за 1 рік
 
Жінки, які не застосовують КГК, що містять КГК, що містять
КГК (2 випадки) левоноргестрел (5–7 випадків) дезогестрел
• Дуже рідко повідомлялося про тромбоз, який виникав в інших кровоносних судинах, наприклад печінкових, мезентеріальних, ниркових, мозкових або ретинальних венах і артеріях, у жінок, що застосовували КГК.
Фактори ризику розвитку ВТЕ
• При застосуванні КГК ризик тромбоемболічних венозних ускладнень може істотно підвищуватися у жінок з додатковими факторами ризику, особливо за наявності множинних ризиків (див. таблицю 1).
• Лікарський засіб Дезофемін® 30 протипоказаний жінкам з множинними факторами ризику, які призводять до високого ризику розвитку венозного тромбозу (див. розділ «Протипоказання»). Якщо у жінки більше ніж один фактор ризику, можливо, що міра підвищення ризику буде вища, ніж сума індивідуальних факторів. У такому разі слід проаналізувати загальний ризик розвитку ВТЕ у жінки. Якщо співвідношення переваг і ризиків є несприятливими, не слід призначати КГК (див. розділ «Протипоказання»).
Таблиця 1
Фактори ризику ВТЕ
| Фактор ризику | Коментар | 
| Ожиріння (індекс маси тіла (ІМТ) більше 30 кг/м2). | Ризик істотно підвищується при збільшенні ІМТ. Особливо важливо враховувати наявність інших факторів ризику. | 
| Тривала іммобілізація, обширне хірургічне втручання, будь-яке хірургічне втручання на ногах або органах таза, нейрохірургія, велика травма. Примітка. Тимчасова іммобілізація, включаючи авіаперельоти тривалістю більше 4 годин, також може бути фактором ризику розвитку ВТЕ, особливо у жінок з іншими факторами ризику. | Рекомендовано припинити використання пластиря/таблеток/кільця (у разі елективної хірургії – як мінімум за 4 тижні до її проведення) і не поновлювати раніше ніж через 2 тижні після повного відновлення рухливості. Для запобігання вагітності слід використовувати інші засоби контрацепції. Слід розглянути питання про антитромботичну терапію, якщо застосування лікарського засобу Дезофемін® 30 не було припинено заздалегідь. | 
| Позитивний сімейний анамнез (венозний тромбоемболізм у брата/сестри або батьків, особливо у відносно ранньому віці, тобто до 50 років). | Якщо підозрюється наявність вродженої схильності, перед ухваленням рішення про застосування будь-якого КГК жінку слід направити на консультацію до фахівця. | 
| Інші медичні стани, які супроводжуються ВТЕ. | Рак, системний червоний вовчак, гемолітичний уремічний синдром, хронічне запальне захворювання кишечника (хвороба Крона або виразковий коліт) і серпоподібноклітинна анемія. | 
| Вік | Особливо після 35 років. | 
- Немає єдиної думки про можливу роль варикозу вен і поверхневого тромбофлебіту у виникненні або прогресуванні венозного тромбозу.
- Слід брати до уваги підвищений ризик тромбоемболізму в період вагітності, особливо протягом 6 тижнів після пологів (див. розділ «Застосування у період вагітності або годування груддю»).
Симптоми ВТЕ (тромбоз глибоких вен і емболія легеневих судин)
У разі виникнення симптомів жінка повинна негайно звернутися за медичною допомогою, повідомивши лікаря про те, що вона приймає КГК.
Симптоми тромбозу глибоких вен (ТГВ) можуть включати:
- односторонній набряк ноги та/або стопи або набряк по ходу вени ноги;
- біль або хворобливість в нозі, яка відчувається тільки при стоянні або ходьбі;
- тепліша на дотик уражена кінцівка; почервоніння або зміна кольору шкіри ноги.
Симптоми емболії легеневих судин можуть включати:
- раптова задишка або швидке дихання;
- раптовий кашель, який може супроводжуватися кровохарканням;
- гострий біль в грудній клітці;
- сильне запаморочення;
- швидке або нерегулярне серцебиття.
Деякі з цих симптомів (наприклад задишка, кашель) є неспецифічними і можуть бути помилково прийняті за такі, що часто виникають або є менш тяжкими (наприклад при інфекції респіраторного тракту).
Інші ознаки оклюзії судин можуть включати раптовий біль, набряклість і злегка синюшний відтінок шкіри кінцівки.
Якщо відбувається оклюзія судин ока, симптоми можуть варіювати від болючої нечіткості зору до втрати зору. Іноді втрата зору може виникати практично негайно.
Ризик артеріального тромбоемболізму (АТЕ)
• Епідеміологічні дослідження встановили зв’язок між застосуванням КГК і підвищеним ризиком розвитку артеріального тромбоемболізму (інфаркт міокарда) або порушень мозкового кровообігу (таких як транзиторне порушення мозкового кровообігу, інсульт). Артеріальні тромбоемболічні реакції можуть бути летальними.
Фактори ризику розвитку АТЕ
• Ризик розвитку артеріальних тромбоемболічних ускладнень або порушення мозкового кровообігу при застосуванні КГК підвищується у жінок з факторами ризику (див. таблицю 2). Лікарський засіб Дезофемін® 30 протипоказаний жінкам з одним серйозним або з множинними чинниками ризику розвитку АТЕ, які призводять до високого ризику артеріального тромбозу (див. розділ «Протипоказання»). Якщо у жінки більше ніж один фактор ризику, можливо, що міра підвищення ризику буде більшою за суму індивідуальних факторів. У такому разі слід проаналізувати загальний ризик для жінки. Якщо вважається, що співвідношення переваг і ризиків є несприятливим, КГК призначати не слід (див. розділ «Протипоказання»).
Таблиця 2
Фактори ризику розвитку АТЕ
| Фактор ризику | Коментар | 
| Вік | Особливо після 35 років. | 
| Паління | Під час застосування КГК жінці рекомендується припинити паління. Жінкам віком понад 35 років, які продовжують палити, наполегливо рекомендується застосовувати інший спосіб контрацепції. | 
| Артеріальна гіпертензія | |
| Ожиріння (індекс маси тіла більше 30 кг/м2) | Ризик істотно підвищується при збільшенні ІМТ. Особливо важливо враховувати наявність інших факторів ризику. | 
| Позитивний сімейний анамнез (артеріальний тромбоемболізм у брата/сестри або батьків, особливо у відносно ранньому віці, тобто до 50 років) | Якщо підозрюється наявність вродженої схильності, перед ухваленням рішення про застосування КГК жінку слід направити на консультацію до фахівця. | 
| Мігрень | Підвищення частоти або тяжкості мігрені під час застосування КГК (що може бути продромальним симптомом при порушенні мозкового кровообігу) може бути причиною для негайної відміни лікарського засобу. | 
| Інші медичні стани, які супроводжуються побічними реакціями з боку судин | Цукровий діабет, гіпергомоцистеїнемія, захворювання клапанів серця, фібриляція передсердя, дисліпопротеїнемія і системний червоний вовчак. | 
Симптоми АТЕ
У разі виникнення симптомів жінка повинна негайно звернутися за медичною допомогою, повідомивши лікаря про те, що вона приймає КГК.
Симптоми порушення мозкового кровообігу можуть включати:
- раптове оніміння або слабкість в ділянці обличчя, в руці або нозі, особливо з одного боку тіла;
- раптове порушення ходи, запаморочення, порушення рівноваги або координації;
- раптова сплутаність свідомості, порушення мовлення або розуміння;
- раптове порушення зору в одному оці або в обох;
- раптовий інтенсивний або тривалий головний біль, що виник без певної причини;
- втрата свідомості або непритомність з/без судом.
Тимчасові симптоми вказують на транзиторну ішемічну атаку (ТІА).
Симптоми інфаркту міокарда можуть включати:
- біль, дискомфорт, почуття тиску, тяжкості, стискування або переповненості в грудній клітці, руці або нижче груднини;
- дискомфорт з іррадіацією в спину, щелепу, горло, руку, шлунок;
- відчуття переповненості шлунка, диспепсія або запор;
- пітливість, нудота, блювання або запаморочення;
- надзвичайна слабкість, тривожність або задишка;
- швидке і нерегулярне серцебиття.
Пухлини
Певні дослідження показали підвищений ризик раку шийки матки у жінок, які протягом тривалого часу застосовують КПК, проте, як і раніше, існує невизначеність щодо ступеня обумовлення захворювання супутніми ефектами, наприклад відмінностями у сексуальній поведінці або іншими факторами, як, наприклад інфікування вірусом папіломи людини (ВПЛ).
• Метааналіз 54 епідеміологічних досліджень показав, що існує незначне збільшення відносного ризику (ВР = 1,24) виявлення раку молочної залози у жінок, які на даний момент застосовують комбіновані пероральні контрацептиви (КПК). Випадки раку молочної залози, що діагностують у жінок, які приймають КПК на даний момент або застосовували КПК в останні десять років, більш імовірніше локалізуватимуться в молочній залозі, ніж діагностовані випадки раку у жінок, які ніколи не приймали КПК.
• Рак молочної залози рідко виникає у жінок до 40 років, незалежно від того, чи застосовують вони КПК. Оскільки цей фоновий ризик зростає з віком, додаткова кількість випадків раку молочної залози у тих жінок, що застосовують КПК тепер або застосовували їх раніше, є малою у порівнянні із загальним ризиком розвитку раку молочної залози (див. графік).
• Найважливішим фактором ризику раку молочної залози у тих, хто застосовує КПК, є вік, в якому жінка припиняє приймати КПК; чим старша жінка при припиненні застосування, тим вища вірогідність діагностування раку молочної залози. Тривалість застосування менш важлива, і підвищений ризик поступово зникає протягом 10 років після припинення застосування КПК настільки, що через 10 років ризик вже не перевищує звичайний.
• Можливе підвищення ризику раку молочної залози слід обговорити з жінкою і зважити переваги застосування КПК з урахуванням даних про те, що КПК забезпечують значний захист від ризику розвитку деяких інших видів раку (рак яєчників та ендометрію), див. нижче наведений графік.
 
• В іншому епідеміологічному дослідженні за участю 1,8 млн жінок з Данії, за якими спостерігали в середньому 10,9 року, повідомлялося, що ВР виявлення раку молочної залози у тих, хто застосовує КПК, збільшується при тривалому їх застосуванні у порівнянні з жінками, які ніколи не застосовували КПК (загальний ВР = 1,19; показник ВР знаходився в діапазоні від 1,17 при застосуванні КПК від 1 до 5 років та до 1,46 при застосуванні КПК понад 10 років). Відома абсолютна різниця у ВР (кількість випадків виникнення раку молочної залози у жінок, які ніколи не застосовували КПК, порівняно з тими, хто застосовує КПК наразі або нещодавно закінчили прийом) була невеликою: 13 на 100 000 пацієнто-років.
• Епідеміологічні дослідження не надають доказів причинної обумовленості таких даних. Модель підвищеного ризику, яка спостерігається, може бути пов’язана з більш ранньою діагностикою раку молочної залози у жінок, що застосовували КПК, біологічними ефектами КПК або комбінацією обох чинників.
• У жінок, які застосовували КГК, у рідкісних випадках повідомлялося про доброякісні і, набагато рідше, про злоякісні пухлини печінки. В окремих випадках такі пухлини призводили до небезпечних для життя внутрішньочеревних кровотеч. Таким чином, пухлини печінки слід враховувати при диференціальній діагностиці, якщо у жінок, які застосовують КГК, виникає біль у верхній частині живота, спостерігаються збільшення печінки або ознаки внутрішньочеревного крововиливу.
Інші стани.
• При застосуванні КПК у жінок із гіпертригліцеридемією або з її наявністю в сімейному анамнезі можливий підвищений ризик розвитку панкреатиту.
• Екзогенні естрогени можуть викликати або посилити симптоми спадкового та набутого ангіоневротичного набряку.
• Хоча повідомлялося про незначне підвищення артеріального тиску у багатьох жінок, які приймають КПК, клінічно значущі підвищення зустрічаються рідко. Взаємозв’язок між прийомом КПК і клінічною гіпертензією не встановлено. Однак, якщо тривала клінічно значуща артеріальна гіпертензія розвивається на фоні застосування КПК, лікар має заборонити застосування КПК та лікувати артеріальну гіпертензію. Застосування КПК можна відновити у разі нормалізації артеріального тиску за допомогою антигіпертензивної терапії.
• Повідомлялося про виникнення або погіршення таких станів при вагітності і при застосуванні КПК: жовтяниця та/або свербіж, пов’язані з холестазом; утворення каменів у жовчному міхурі; порфірія; системний червоний вовчак; гемолітико-уремічний синдром; хорея Сиденгама; герпес вагітних; втрата слуху, пов’язана з отосклерозом.
• Гострі або хронічні порушення функції печінки вимагають негайного припинення використання КПК доти, доки печінкові проби не повернуться до прийнятних показників. Рецидиви жовтяниці та/або свербіжу, пов’язані з холестазом, які виникали раніше під час вагітності або використання статевих стероїдів, також вимагають припинення прийому КПК.
• Хоча КПК можуть впливати на периферійну резистентність до інсуліну та порушення толерантності до глюкози, немає необхідності змінювати схеми лікування хворих на цукровий діабет, які приймають КПК. Однак, за жінками, хворими на цукровий діабет, має бути ретельний нагляд під час застосування КПК.
• Хлоазма може періодично виникати, особливо у жінок з наявністю в анамнезі хлоазми вагітних. Жінкам зі схильністю до хлоазми рекомендується під час застосування даного лікарського засобу уникати перебування на сонці або під дією ультрафіолетового випромінювання.
• Хвороба Крона і неспецифічний виразковій коліт пов’язані з прийомом КПК.
Медичне обстеження
Перед початком або відновленням застосування лікарського засобу Дезофемін® 30 лікар має уважно ознайомитися з особистим та сімейним анамнезом жінки і виключити вагітність. Враховуючи протипоказання (див. розділ «Протипоказання») і застереження (див. розділ «Особливості застосування») щодо застосування цього лікарського засобу, проводять повний медичний огляд та вимірюють артеріальний тиск. Жінці слід надати інформацію щодо венозного та артеріального тромбозу, включаючи дані про ризики при застосуванні лікарського засобу Дезофемін® 30 у порівнянні із іншими КГК, щодо симптомів ВТЕ та АТЕ, відомих факторів ризику та щодо дій при підозрі на тромбоз. Також, жінці слід пояснити, що вона повинна ретельно перечитати інструкцію для медичного застосування лікарського засобу і дотримуватися вказаних у ній рекомендацій. Частоту і характер обстеження визначає лікар, враховуючи офіційні практичні рекомендації, індивідуально для кожної окремої жінки.
Жінку слід попередити, що гормональні контрацептиви не захищають від ВІЛ-інфекції (СНІДу) та інших захворювань, які передаються статевим шляхом. Якщо існує такий ризик зараження (у тому числі і під час вагітності або після пологів), рекомендується адекватне використання презерватива з іншими методами контрацепції.
Зменшення ефективності.
Ефективність застосування лікарського засобу Дезофемін® 30 може знижуватись, наприклад у разі пропуску застосування таблеток, виникнення шлунково-кишкових розладів (див. розділ «Спосіб застосування та дози») або при одночасному застосуванні деяких лікарських засобів, які знижують концентрацію в плазмі крові етоногестрелу, активного метаболіту дезогестрелу (див. розділ «Взаємодія з іншими лікарськими засобами та інші види взаємодій»).
Погіршення контролю менструального циклу.
Під час застосування КГК можливі нерегулярні (незначні або рясні) кровотечі, особливо протягом перших місяців застосування. Тому оцінка будь-яких нерегулярних кровотеч може бути коректною лише після адаптаційного періоду, який становить приблизно три цикли.
Якщо нерегулярні кровотечі зберігаються або виникають після попередніх регулярних циклів, слід розглянути негормональні причини і призначити адекватні діагностичні заходи, включаючи кюретаж, для виключення вагітності або злоякісної пухлини.
У деяких жінок під час інтервалу без таблеток кровотеча відміни може не спостерігатися. Якщо КГК застосовували відповідно до рекомендацій, наведених у розділі «Спосіб застосування та дози», то можливість вагітності невелика. Проте якщо були порушення цих рекомендацій до першої відсутності кровотечі відміни в період без таблеток або якщо кровотечі відміни відсутні двічі підряд, перед тим як продовжити приймати КГК, потрібно виключити можливу вагітність.
Дезофемін® 30 містить лактозу та натрій.
Якщо у жінки встановлено непереносність деяких цукрів, їй потрібно проконсультуватися з лікарем, перш ніж приймати цей лікарський засіб.
Цей лікарський засіб містить менше 1 ммоль (23 мг) / дозу натрію, тобто практично вільний від натрію.
Застосування у період вагітності або годування груддю.
Вагітність.
Вагітність є протипоказанням для застосування Дезофемін® 30. Якщо жінка завагітніла під час застосування Дезофемін® 30, подальше застосування слід припинити. Однак результати епідеміологічних досліджень не вказують на підвищення ризику вроджених вад у дітей, матері яких приймали КГК до вагітності, як і на можливість тератогенної дії при ненавмисному прийомі КГК на ранніх термінах вагітності.
Підвищений ризик виникнення ВТЕ у післяпологовий період слід брати до уваги при відновленні прийому лікарського засобу Дезофемін® 30 (див. розділи «Спосіб застосування та дози» й «Особливості застосування»).
Годування груддю.
КГК можуть впливати на лактацію, оскільки вони можуть зменшувати кількість та змінювати склад грудного молока. Таким чином, застосування КГК зазвичай не рекомендується до повного закінчення періоду годування груддю. З молоком можуть виділятися малі кількості контрацептивних стероїдів та/або їх метаболітів, але немає жодних доказів, що це негативно впливає на здоров’я немовлят.
Здатність впливати на швидкість реакції при керуванні автотранспортом або іншими механізмами.
Лікарський засіб не впливає на швидкість реакції при керуванні автотранспортом або іншими механізмами.
Спосіб застосування та дози.
Для перорального застосування.
Дозування
Протягом 21 дня поспіль приймають по 1 таблетці. Таблетки з наступної упаковки починають приймати після закінчення 7-денного періоду без прийому таблеток, протягом якого зазвичай відбувається кровотеча відміни. Як правило, вона починається на 2-3-й день після застосування останньої таблетки і може продовжуватися до початку застосування таблеток з наступної упаковки.
Як приймати Дезофемін® 30
Таблетки необхідно приймати у зазначеному на упаковці порядку, щоденно, приблизно в один і той же час, запиваючи при необхідності невеликою кількістю рідини.
Як розпочати застосування Дезофемін® 30
Якщо гормональні контрацептиви у попередній період (минулий місяць) не застосовували
Застосування таблеток починають у перший день природного циклу жінки (тобто в перший день менструальної кровотечі). Можна почати застосування з 2-5-го дня, проте в такому випадку протягом перших 7 днів першого циклу застосування таблеток рекомендується додатково використовувати бар’єрний метод контрацепції.
Перехід з іншого комбінованого гормонального контрацептиву (комбінованого перорального контрацептиву (КПК), вагінального кільця або трансдермального пластиру)
Бажано, щоб жінка почала застосування Дезофемін® 30 наступного дня після останнього застосування активної таблетки (останньої таблетки, що містить активні речовини) попереднього КГК, але не пізніше наступного дня після перерви у застосуванні таблеток або після застосування неактивної таблетки попереднього гормонального контрацептиву. У разі використання вагінального кільця або трансдермального пластиру жінці бажано починати застосування Дезофемін® 30 в день видалення, але не пізніше дня наступного застосування.
Якщо попередній метод контрацепції використовувався правильно та систематично і жінка цілком впевнена в тому, що вона не вагітна, вона також може здійснити перехід з іншого комбінованого гормонального контрацептиву в будь-який день циклу.
Період без застосування гормонального контрацептиву не має бути довшим, ніж рекомендовано.
Перехід з препаратів, які містять лише прогестаген («міні-пілі», ін’єкція або імплантат), або з внутрішньоматкової системи (ВМС), що вивільняє прогестаген
Жінка може починати застосування Дезофемін® 30 у будь-який день після припинення застосування «міні-пілі» (у випадку імплантату або ВМС ¾ у день його/її видалення, у випадку ін’єкції ¾ в день наступної ін’єкції). У всіх зазначених випадках жінка має використовувати додатково бар’єрний метод протягом перших 7 днів застосування таблеток.
Після аборту в першому триместрі вагітності
Жінка може починати застосування препарату одразу після аборту. У такому випадку немає необхідності застосовувати додаткові засоби контрацепції.
Після пологів або аборту в другому триместрі вагітності
Щодо застосування препарату під час годування груддю див. також розділ «Застосування у період вагітності або годування груддю».
Жінкам рекомендується починати застосування з 21-го або 28-го дня після пологів або аборту у другому триместрі. Якщо розпочати застосовувати препарат пізніше, рекомендується додатково використовувати бар’єрний метод протягом перших 7 днів застосування таблеток. У будь-якому разі, якщо в цей період уже були статеві контакти, то перед початком застосування КГК слід виключити можливу вагітність або почекати до першої менструації.
Що робити у разі пропуску прийому таблетки
Якщо жінка спізнилася з застосуванням наступної таблетки менше як на 12 годин, протизаплідна дія препарату не зменшується. Жінка повинна прийняти таблетку, як тільки згадає про неї, і далі продовжувати застосування у звичайний час.
Якщо жінка спізнилася з застосуванням наступної таблетки більше як на 12 годин, контрацептивний захист може зменшуватися. У цьому випадку діють два основні правила:
1. Не припиняти застосування таблеток більше як на 7 днів.
2. Після початку застосування таблеток адекватне гальмування системи «гіпоталамус — гіпофіз — яєчники» досягається за 7 днів безперервного застосування.
Відповідно до цього у повсякденному житті слід керуватися такими порадами:
· Тиждень 1
Жінка повинна прийняти останню пропущену таблетку одразу ж, як тільки згадає про пропуск, навіть якщо доведеться прийняти дві таблетки одночасно. Далі вона продовжує приймати таблетки у звичайний час. Крім того, протягом наступних 7 днів слід використовувати бар’єрний метод контрацепції, наприклад презерватив. Якщо за попередні 7 днів уже були статеві контакти, слід враховувати можливість виникнення вагітності. Чим більше прийомів таблеток пропущено і чим ближчий період без прийому таблеток, тим більший ризик вагітності.
· Тиждень 2
Жінка повинна прийняти останню пропущену таблетку одразу ж, як тільки згадає про пропуск, навіть якщо доведеться прийняти дві таблетки одночасно. Далі вона продовжує приймати таблетки у звичайний час. Якщо до цього жінка протягом 7 днів правильно приймала попередні таблетки, то додаткові засоби контрацепції не потрібні. Однак в іншому випадку або якщо пропущено прийом більше однієї таблетки, протягом наступних 7 днів слід використовувати додаткові методи контрацепції.
· Тиждень 3
Ризик зниження надійності зростає з наближенням перерви у застосуванні таблеток. Однак при дотриманні певної схеми застосування таблеток можна уникнути зниження контрацептивного захисту. Якщо дотримуватись однієї з нижченаведених вказівок, то не виникне необхідності використовувати додаткові контрацептивні засоби за умови, якщо жінка приймала таблетки правильно протягом 7 днів до пропуску. Якщо ж це не так, то жінка має дотримуватися першої з нижченаведених вказівок і використовувати додаткові запобіжні методи протягом наступних 7 днів.
1. Жінка повинна прийняти останню пропущену таблетку одразу ж, як тільки згадає про пропуск, навіть якщо доведеться прийняти дві таблетки одночасно. Далі вона продовжує приймати таблетки у звичайний час. Таблетки з наступної упаковки слід почати приймати одразу ж після закінчення попередньої, тобто не має бути перерви у прийомі таблеток. Малоймовірно, що у жінки почнеться кровотеча відміни до закінчення застосування таблеток з другої упаковки препарату, хоча в процесі застосування таблеток можуть спостерігатися незначні кров’янисті виділення або раптова кровотеча.
2. Жінка також може припинити застосування таблеток з упаковки, яку використовує. В цьому випадку перерва має становити 7 днів, включаючи дні пропуску прийому таблеток; застосування таблеток слід розпочати з наступної упаковки.
Якщо жінка пропустила черговий прийом таблеток і протягом першого планового періоду без прийому таблеток кровотечі відміни не було, можливо, вона завагітніла.
Рекомендації на випадок шлунково-кишкових розладів
У випадку тяжкого шлунково-кишкового порушення всмоктування препарату може бути неповним і треба застосовувати додаткові засоби контрацепції.
Якщо блювання сталося не пізніше як через 3-4 години після застосування таблетки, треба дотримуватися рекомендацій щодо пропуску прийому таблеток (див. підрозділ «Що робити у разі пропуску прийому таблетки» вище). Якщо жінка не хоче змінювати свою звичну схему застосування таблеток, вона повинна прийняти додаткову таблетку (таблетки) з іншої упаковки.
Як змінити або затримати початок менструації
Щоб затримати початок менструації, жінці просто слід продовжувати приймати таблетки з наступної упаковки після закінчення попередньої і не робити перерви. За бажанням можлива будь-яка затримка в межах кількості таблеток другої упаковки аж до її закінчення. Під час затримки у жінки може спостерігатися раптова кровотеча або незначні кров’янисті виділення. Після наступного планового 7-денного періоду без прийому таблеток відновлюється регулярний прийом таблеток.
Для того, щоб перемістити початок менструації на інший день тижня, на відміну від нормального циклу, коли не застосовують Дезофемін® 30, жінці можна порекомендувати скоротити період без прийому таблеток на потрібну кількість днів. Чим менший цей період, тим більша ймовірність відсутності кровотечі відміни і виникнення невеликих кров’янистих виділень та короткочасних кровотеч під час застосування таблеток з наступної упаковки (як і при затримці місячних).
Діти.
Немає клінічних даних щодо ефективності та безпеки застосування лікарського засобу дітям (віком до 18 років).
Передозування.
Про серйозні і небезпечні ускладнення при передозуванні не повідомлялося. У разі передозування можуть виникати такі симптоми: нудота, блювання, у дівчат ¾ незначні кров’янисті виділення з піхви. Антидотів не існує, лікування передозування повинно бути симптоматичним.
Побічні реакції.
Опис окремих побічних реакцій
При застосуванні КГК (комбінованих гормональних контрацептивів) спостерігався підвищений ризик розвитку артеріальної та венозної тромбоемболії, включаючи інфаркт міокарда, параліч, транзиторне ішемічне порушення мозкового кровообігу, тромбоз глибоких вен та емболію легеневих судин (детально див. розділ «Особливості застосування»).
Інші побічні реакції, що відмічаються у жінок при застосуванні КГК, розглянуті в розділі «Особливості застосування».
При застосуванні всіх КГК спостерігалися зміни у характері вагінальної кровотечі, особливо в перші місяці використання, також фіксувалися зміни частоти кровотечі (відсутність, менша частота, більша частота або тривалий час), інтенсивності кровотечі (зменшення або збільшення) або загальної тривалості вагінальної кровотечі.
Можливі побічні реакції1, про виникнення яких повідомлялося при застосуванні етинілестрадіолу/дезогестрелу або КГК, в узагальненому вигляді наведено у поданій нижче таблиці. Всі побічні реакції подано за системами органів та частотою.
| Система органів | Частота побічних реакцій | |||
| Часто (≥ 1/100) | Нечасто (≥ 1/1 000, < 1/100) | Рідко (<1/1000) | Частота невідома (неможливо оцінити за наявними даними) | |
| З боку імунної системи | Гіперчутливість | Загострення симптомів спадкового та набутого ангіоневротичного набряку | ||
| З боку метаболізму і харчування | Затримка рідини | |||
| Психічні розлади | Депресивний настрій, зміна настрою | Зниження лібідо | Підвищення лібідо | |
| З боку нервової системи | Головний біль | Мігрень | ||
| З боку органів зору | Непереносимість контактних лінз | |||
| З боку судин | Венозна2 / артеріальна2 тромбоемболія (ВТЕ/АТЕ) | |||
| З боку шлунково-кишкового тракту | Нудота, біль у животі | Діарея, блювання | ||
| З боку шкіри та підшкірної клітковини | Висипи, кропив’янка | Вузликова еритема, мультиморфна еритема | ||
| З боку репродуктивної системи та молочних залоз | Біль у молочних залозах, болючість молочних залоз | Збільшення молочних залоз | Вагінальні виділення, виділення з молочних залоз | |
| Дослідження | Збільшення маси тіла | Зниження маси тіла | ||
1 Найбільш прийнятний термін MedDRA для опису певної небажаної реакції. Синоніми або подібні стани не перераховані, але їх також треба брати до уваги.
2 Частота спостережень у когортних дослідженнях від ≥ 1/10000 до 1/1000 жінок-років.
У жінок, які приймали комбіновані гормональні контрацептиви, було зафіксовано такі побічні реакції: ангіоневротичний набряк та/або загострення спадкового ангіоневротичного набряку, акне, алопеція, кісти яєчників, порушення менструації, дисменорея, позаматкова вагітність, свербіж, втомлюваність, сонливість, безсоння, гіпертермія, гінекомастія, передменструальний синдром, гірсутизм, зміна ліпідів у плазмі крові, зміна апетиту. Більш детальну інформацію про побічні реакції, про які повідомлялося під час застосування КПК (тромбоемболічні захворювання вен, тромбоемболічні захворювання артерій, артеріальна гіпертензія, гормонозалежні пухлини (наприклад пухлини печінки, рак молочних залоз), хлоазма), наведено в розділі «Особливості застосування».
Дані про вплив КПК на лабораторні аналізи див. у розділі «Взаємодія з іншими лікарськими засобами та інші види взаємодій».
Повідомлення про підозрювані побічні реакції
Повідомлення про побічні реакції після реєстрації лікарського засобу має велике значення. Це дає змогу проводити моніторинг співвідношення користь/ризик при застосуванні цього лікарського засобу. Медичним та фармацевтичним працівникам, а також пацієнтам або їхнім законним представникам слід повідомляти про усі випадки підозрюваних побічних реакцій та відсутності ефективності лікарського засобу через Автоматизовану інформаційну систему з фармаконагляду за посиланням: https//aisf.dec.gov.ua.
Термін придатності. 3 роки.
Умови зберігання.
Зберігати в оригінальній упаковці при температурі не вище 30 ºС. Зберігати у недоступному для дітей місці.
Упаковка. По 21 таблетці у блістері. По 1 або по 3, або по 6 блістерів у картонній коробці.
Категорія відпуску. За рецептом.
Виробник.
мібе ГмбХ Арцнайміттель.
Місцезнаходження виробника та його адреса місця провадження діяльності.
Мюнхенерштрассе 15, Брена, Саксонія-Анхальт, 06796, Німеччина.